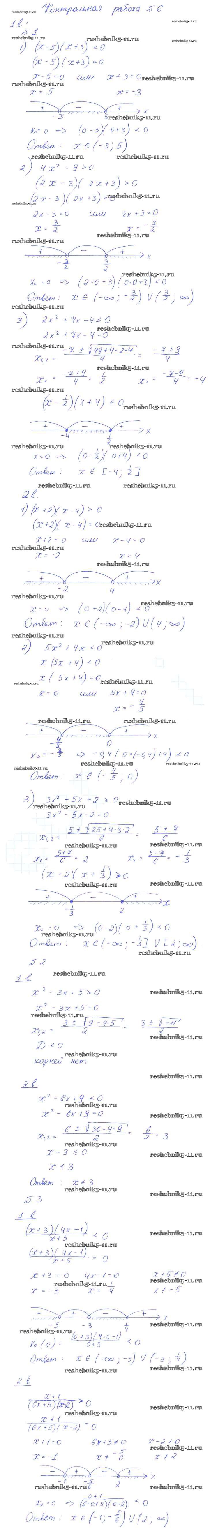
Алгебра за 8 класс Ткачева Дидактические материалы Просвещение контрольная работа 6
Решебник / контрольная работа / 6

Готовая домашняя работа с ответами по Алгебре за 8 класс Ткачева, Федорова, Шабунин Дидактические материалы Просвещение 2013 ФГОС - Контрольные работы 6