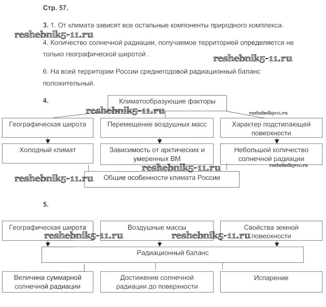
География за 8 класс Пятунин Рабочая тетрадь Алгоритм успеха Вентана-граф часть 1. страница 57
Решебник / часть 1. страница / 57

Часть 1. Страницы
Часть 2. Страницы
Готовая домашняя работа с ответами по Географии за 8 класс Пятунин, Таможняя Рабочая тетрадь Алгоритм успеха Часть 1, 2 Вентана-граф 2017 ФГОС - Часть 1. Страницы 57