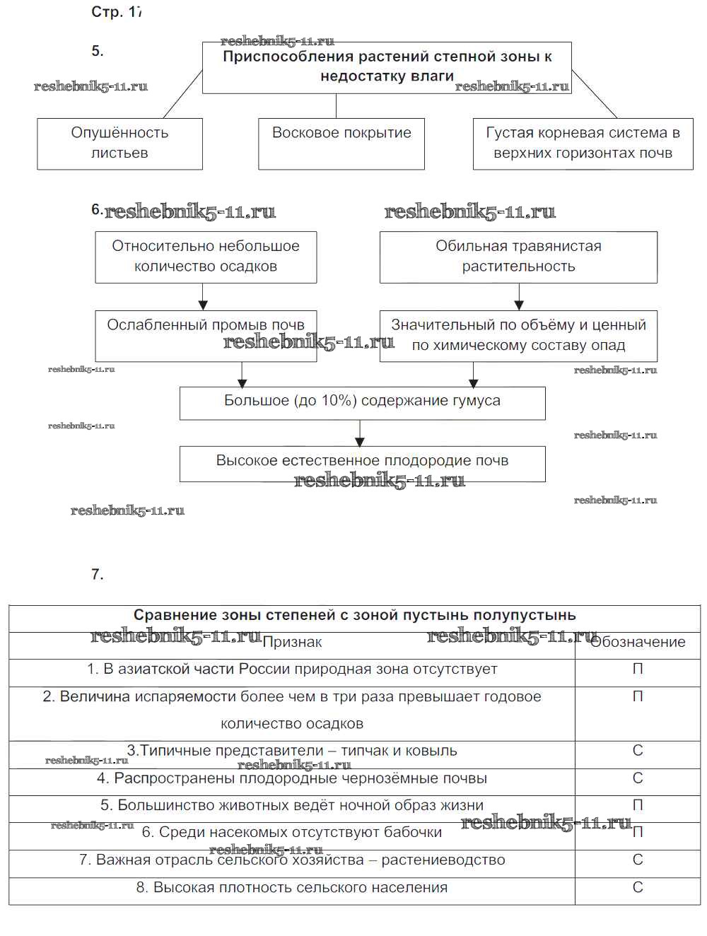
География за 8 класс Пятунин Рабочая тетрадь Алгоритм успеха Вентана-граф часть 2. страница 17
Решебник / часть 2. страница / 17

Часть 1. Страницы
Часть 2. Страницы
Готовая домашняя работа с ответами по Географии за 8 класс Пятунин, Таможняя Рабочая тетрадь Алгоритм успеха Часть 1, 2 Вентана-граф 2017 ФГОС - Часть 2. Страницы 17