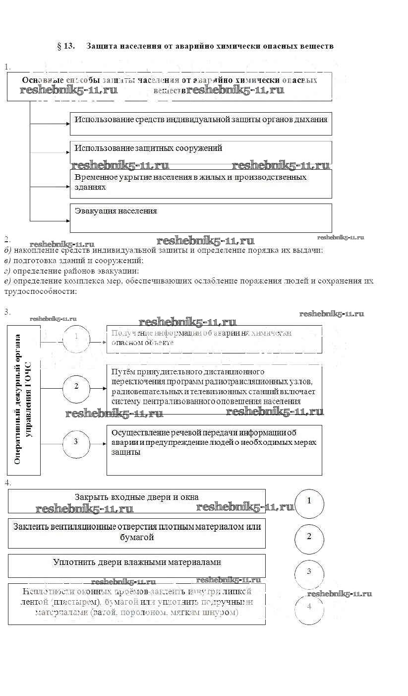
ОБЖ за 8 класс Латчук Рабочая тетрадь Вертикаль Дрофа параграф §13
Решебник / параграф / §13

Готовая домашняя работа с ответами по ОБЖ за 8 класс Латчук, Миронов, Бурдакова Рабочая тетрадь Вертикаль Дрофа 2018 - Параграфы §13
Готовая домашняя работа с ответами по ОБЖ за 8 класс Латчук, Миронов, Бурдакова Рабочая тетрадь Вертикаль Дрофа 2018 - Параграфы §13