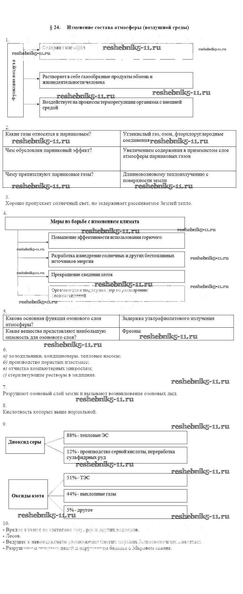
ОБЖ за 8 класс Латчук Рабочая тетрадь Вертикаль Дрофа параграф §24
Решебник / параграф / §24

Готовая домашняя работа с ответами по ОБЖ за 8 класс Латчук, Миронов, Бурдакова Рабочая тетрадь Вертикаль Дрофа 2018 - Параграфы §24
Готовая домашняя работа с ответами по ОБЖ за 8 класс Латчук, Миронов, Бурдакова Рабочая тетрадь Вертикаль Дрофа 2018 - Параграфы §24