Алгебра за 9 класс Глазков Самостоятельные и контрольные работы УМК Экзамен ср-11 вариант 1
Решебник / самостоятельная работа / ср-11 / вариант 1

Самостоятельные работы
СР-1. Функции и их свойства
СР-2. Квадратный трехчлен
СР-3. Квадратичная функция и её график
СР-4. Степенная функция. Корень n-й степени
СР-5. Уравнения с одной переменной
СР-6. Дробные рациональные уравнения
СР-7. Неравенства с одной переменной
СР-8. Уравнения с двумя переменными и их системы
СР-9. Неравенства с двумя переменными и их системы
СР-10. Арифметическая прогрессия
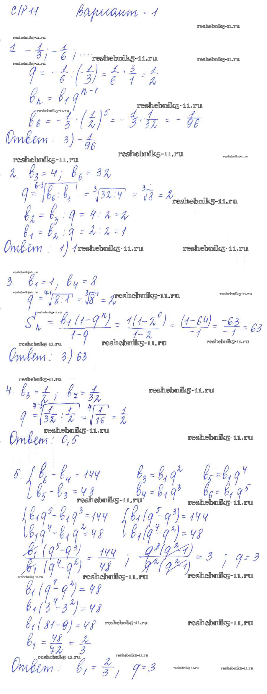
СР-11. Геометрическая прогрессия
СР-12. Элементы комбинаторики
СР-13. Начальные сведения из теории вероятностей
СР-14. Итоговое повторение. Преобразование целых и дробных выражений
СР-15. Итоговое повторение. Функции и графики. Графическое решение уравнений и их систем
СР-16. Итоговое повторение. Решение уравнений, неравенств и их систем
СР-17. Итоговое повторение. Решение текстовых задач
СР-18. Итоговое повторение. Элементы статистики и теории вероятностей
Контрольные работы
КР-1. Функции и их свойства. Квадратный трехчлен. Квадратичная функция и её график
КР-2. Степенная функция. Корень n-й степени. Уравнения с одной переменной
КР-3. Неравенства с одной переменной. Уравнения с двумя переменными и их системы
КР-4. Неравенства с двумя переменными и их системы. Арифметическая и геометрическая прогрессии
КР-5. Элементы комбинаторики и теории вероятностей
КР-6. В формате ГИА
Готовая домашняя работа с ответами по Алгебре за 9 класс Глазков, Варшавский, Гаиашвили Самостоятельные и контрольные работы УМК Экзамен 2013 ФГОС - СР-11. Геометрическая прогрессия вариант 1