Алгебра за 9 класс Ершова Самостоятельные и контрольные работы Илекса ср-23. вариант Б2

Решебник / алгебра / самостоятельная работа / ср-23. вариант / Б2

Алгебра

Самостоятельные работы

СР-1. Варианты

СР-2. Варианты

СР-3. Варианты

СР-5. Варианты

СР-6. Варианты

СР-7. Варианты

СР-9. Варианты

СР-10. Варианты

СР-12. Варианты

СР-13. Варианты

СР-14. Варианты

СР-15. Варианты

СР-17. Варианты

СР-18. Варианты

СР-19. Варианты

СР-20. Варианты

СР-21. Варианты

СР-22. Варианты

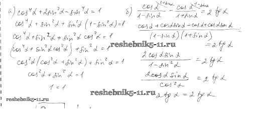
СР-23. Варианты

СР-24. Варианты

СР-26. Варианты

СР-27. Варианты

Контрольные работы

КР-1. Варианты

КР-2. Варианты

КР-3. Варианты

КР-4. Варианты

КР-5. Варианты

КР-6. Варианты

КР-7. Варианты

КР-8. Варианты

КР-9. Варианты

Геометрия

К учебнику Атанасяна

Самостоятельные работы

СР-1. Варианты
СР-2. Варианты
СР-3. Варианты
СР-4. Варианты
СР-6. Варианты
СР-7. Варианты
СР-8. Варианты
СР-9. Варианты
СР-11. Варианты
СР-12. Варианты
СР-13. Варианты
СР-14. Варианты

Контрольные работы

КР-1. Варианты
КР-2. Варианты
КР-3. Варианты
КР-4. Варианты
КР-5. Варианты

К учебнику Погорелова

Самостоятельные работы

СР-1. Варианты
СР-2. Варианты
СР-3. Варианты
СР-5. Варианты
СР-7. Варианты
СР-8. Варианты
СР-10. Варианты
СР-11. Варианты
СР-12. Варианты
СР-13. Варианты
СР-14. Варианты
СР-15. Варианты
СР-17. Варианты

Контрольные работы

КР-1. Варианты
КР-2. Варианты
КР-3. Варианты
КР-4. Варианты
КР-5. Варианты

Готовая домашняя работа с ответами по Алгебре за 9 класс Ершова, Голобородько Самостоятельные и контрольные работы Илекса 2015 ФГОС - СР-23. Варианты Б2