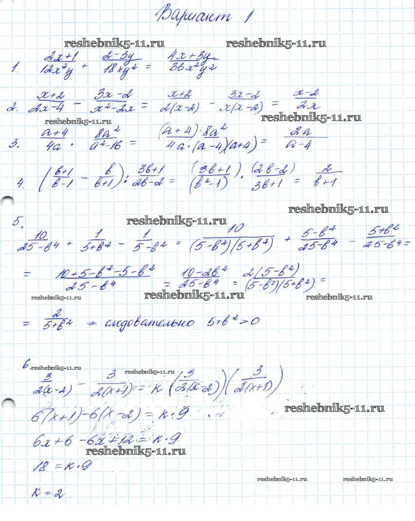
Алгебра за 7-9 класс Мордкович Контрольные работы Углубленный уровень Мнемозина кр-1. вариант 1
Решебник / 8 класс / кр-1. вариант / 1

7 Класс
КР-1. Варианты
КР-2. Варианты
КР-3. Варианты
КР-4. Варианты
КР-5. Варианты
КР-6. Варианты
КР-7. Варианты
КР-8. Варианты
КР-9. Варианты
КР-10. Варианты
8 Класс
КР-1. Варианты
КР-2. Варианты
КР-3. Варианты
КР-4. Варианты
КР-5. Варианты
КР-6. Варианты
КР-7. Варианты
КР-8. Варианты
КР-9. Варианты
9 Класс
КР-1. Варианты
КР-2. Варианты
КР-3. Варианты
КР-4. Варианты
КР-5. Варианты
КР-6. Варианты
КР-7. Варианты
КР-8. Варианты
Готовая домашняя работа с ответами по Алгебре за 7, 8, 9 класс Мордкович Контрольные работы Углубленный уровень Мнемозина 2016 ФГОС - КР-1. Варианты 1