Алгебра за 9 класс Мерзляк Учебник Алгоритм успеха Углубленный уровень Вентана-граф §18 18.47
Решебник / §18 / 18.47
                                §1
§2
§3
§4
§5
§6
§7
                                    
                        7.1
                    
                                    
                        7.2
                    
                                    
                        7.3
                    
                                    
                        7.4
                    
                                    
                        7.5
                    
                                    
                        7.6
                    
                                    
                        7.7
                    
                                    
                        7.8
                    
                                    
                        7.9
                    
                                    
                        7.10
                    
                                    
                        7.11
                    
                                    
                        7.12
                    
                                    
                        7.13
                    
                                    
                        7.14
                    
                                    
                        7.15
                    
                                    
                        7.16
                    
                                    
                        7.17
                    
                                    
                        7.18
                    
                                    
                        7.19
                    
                                    
                        7.20
                    
                                    
                        7.21
                    
                                    
                        7.22
                    
                                    
                        7.23
                    
                                    
                        7.24
                    
                                    
                        7.25
                    
                                    
                        7.26
                    
                                    
                        7.27
                    
                                    
                        7.28
                    
                                    
                        7.29
                    
                                    
                        7.30
                    
                                    
                        7.31
                    
                                    
                        7.32
                    
                                    
                        7.33
                    
                                    
                        7.34
                    
                                    
                        7.35
                    
                                    
                        7.36
                    
                                    
                        7.37
                    
                                    
                        7.38
                    
                                    
                        7.39
                    
                                    
                        7.40
                    
                                    
                        7.41
                    
                                    
                        7.42
                    
                                    
                        7.43
                    
                                    
                        7.44
                    
                                    
                        7.45
                    
                                    
                        7.46
                    
                                    
                        7.47
                    
                                    
                        7.48
                    
                                    
                        7.49
                    
                                    
                        7.50
                    
                                    
                        7.51
                    
                                    
                        7.52
                    
                                    
                        7.53
                    
                                    
                        7.54
                    
                                    
                        7.55
                    
                                    
                        7.56
                    
                                    
                        7.57
                    
                                    
                        7.58
                    
                                    
                        7.59
                    
                                    
                        7.60
                    
                                    
                        7.61
                    
                                    
                        7.62
                    
                                    
                        7.63
                    
                                    
                        7.64
                    
                                    
                        7.65
                    
                                    
                        7.66
                    
                                    
                        7.67
                    
                                    
                        7.68
                    
                                    
                        7.69
                    
                                    
                        7.70
                    
                            
                    §8
§9
§10
§11
§12
§13
§14
§15
§16
§17
                                    
                        17.1
                    
                                    
                        17.2
                    
                                    
                        17.3
                    
                                    
                        17.4
                    
                                    
                        17.5
                    
                                    
                        17.6
                    
                                    
                        17.7
                    
                                    
                        17.8
                    
                                    
                        17.9
                    
                                    
                        17.10
                    
                                    
                        17.11
                    
                                    
                        17.12
                    
                                    
                        17.13
                    
                                    
                        17.14
                    
                                    
                        17.15
                    
                                    
                        17.16
                    
                                    
                        17.17
                    
                                    
                        17.18
                    
                                    
                        17.19
                    
                                    
                        17.20
                    
                                    
                        17.21
                    
                                    
                        17.22
                    
                                    
                        17.23
                    
                                    
                        17.24
                    
                                    
                        17.25
                    
                                    
                        17.26
                    
                                    
                        17.27
                    
                                    
                        17.28
                    
                                    
                        17.29
                    
                                    
                        17.30
                    
                                    
                        17.31
                    
                                    
                        17.32
                    
                                    
                        17.33
                    
                                    
                        17.34
                    
                                    
                        17.35
                    
                                    
                        17.36
                    
                                    
                        17.37
                    
                                    
                        17.38
                    
                                    
                        17.39
                    
                                    
                        17.40
                    
                                    
                        17.41
                    
                                    
                        17.42
                    
                                    
                        17.43
                    
                                    
                        17.44
                    
                                    
                        17.45
                    
                                    
                        17.46
                    
                                    
                        17.47
                    
                                    
                        17.48
                    
                                    
                        17.49
                    
                                    
                        17.50
                    
                                    
                        17.51
                    
                                    
                        17.52
                    
                                    
                        17.53
                    
                                    
                        17.54
                    
                                    
                        17.55
                    
                                    
                        17.56
                    
                                    
                        17.57
                    
                                    
                        17.58
                    
                                    
                        17.59
                    
                                    
                        17.60
                    
                                    
                        17.61
                    
                                    
                        17.62
                    
                                    
                        17.63
                    
                                    
                        17.64
                    
                                    
                        17.65
                    
                                    
                        17.66
                    
                            
                    §18
                                    
                        18.1
                    
                                    
                        18.2
                    
                                    
                        18.3
                    
                                    
                        18.4
                    
                                    
                        18.5
                    
                                    
                        18.6
                    
                                    
                        18.7
                    
                                    
                        18.8
                    
                                    
                        18.9
                    
                                    
                        18.10
                    
                                    
                        18.11
                    
                                    
                        18.12
                    
                                    
                        18.13
                    
                                    
                        18.14
                    
                                    
                        18.15
                    
                                    
                        18.16
                    
                                    
                        18.17
                    
                                    
                        18.18
                    
                                    
                        18.19
                    
                                    
                        18.20
                    
                                    
                        18.21
                    
                                    
                        18.22
                    
                                    
                        18.23
                    
                                    
                        18.24
                    
                                    
                        18.25
                    
                                    
                        18.26
                    
                                    
                        18.27
                    
                                    
                        18.28
                    
                                    
                        18.29
                    
                                    
                        18.30
                    
                                    
                        18.31
                    
                                    
                        18.32
                    
                                    
                        18.33
                    
                                    
                        18.34
                    
                                    
                        18.35
                    
                                    
                        18.36
                    
                                    
                        18.37
                    
                                    
                        18.38
                    
                                    
                        18.39
                    
                                    
                        18.40
                    
                                    
                        18.41
                    
                                    
                        18.42
                    
                                    
                        18.43
                    
                                    
                        18.44
                    
                                    
                        18.45
                    
                                    
                        18.46
                    
                                    
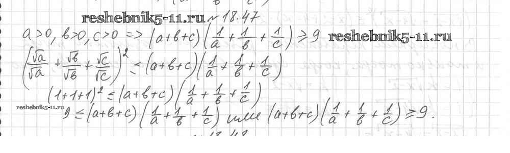
                        18.47
                    
                                    
                        18.48
                    
                                    
                        18.49
                    
                                    
                        18.50
                    
                                    
                        18.51
                    
                                    
                        18.52
                    
                                    
                        18.53
                    
                                    
                        18.54
                    
                                    
                        18.55
                    
                                    
                        18.56
                    
                                    
                        18.57
                    
                                    
                        18.58
                    
                                    
                        18.59
                    
                                    
                        18.60
                    
                                    
                        18.61
                    
                                    
                        18.62
                    
                                    
                        18.63
                    
                                    
                        18.64
                    
                                    
                        18.65
                    
                                    
                        18.66
                    
                                    
                        18.67
                    
                                    
                        18.68
                    
                            
                    §19
§20
§21
§22
§23
§24
§25
§26
§27
§28
§29
§30
§31
§32
§33
§34
§35
Готовая домашняя работа с ответами по Алгебре за 9 класс Мерзляк, Поляков Учебник Алгоритм успеха Углубленный уровень Вентана-граф 2020 ФГОС - §18 18.47