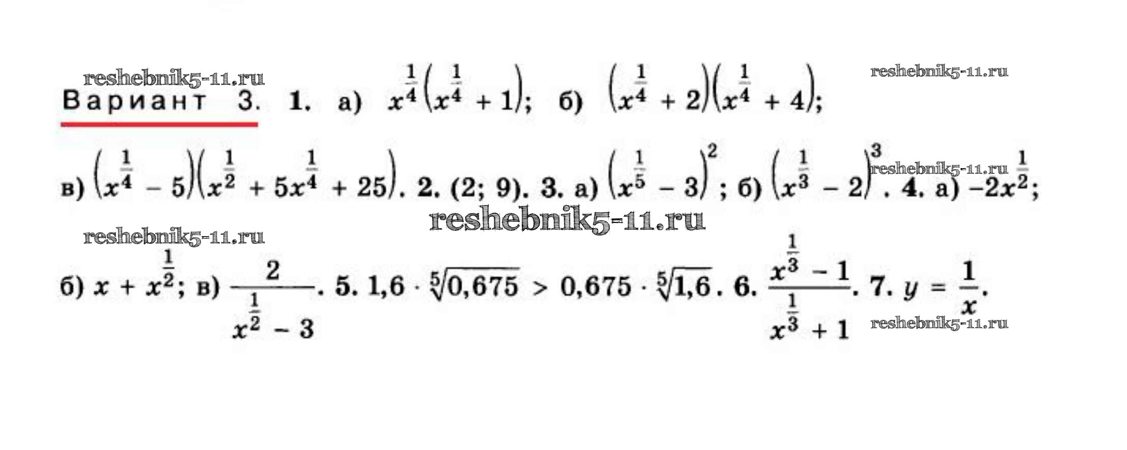
Алгебра за 9 класс Феоктистов Дидактические материалы Мнемозина контрольная работа 5 (вариант) 3
Решебник / контрольная работа 5 (вариант) / 3

Контрольная работа 1 (Варианты)
Контрольная работа 2 (Варианты)
Контрольная работа 3 (Варианты)
Контрольная работа 4 (Варианты)
Контрольная работа 5 (Варианты)
Контрольная работа 6 (Варианты)
Контрольная работа 7 (Варианты)
Готовая домашняя работа с ответами по Алгебре за 9 класс Феоктистов Дидактические материалы Мнемозина 2016 ФГОС - Контрольная работа 5 (Варианты) 3