Алгебра за 9 класс Евстафьева Дидактические материалы Просвещение п-47 Вариант 1
Решебник №1 / проверочная работа / п-47 / вариант 1

Обучающие работы
О-1. Действительные числа
О-2. Общие свойства неравенств
О-3. Решение неравенств
О-4. Решение систем линейных неравенств
О-5. Доказательство неравенств
О-6. Что означает с точностью до..
О-7. Функции
О-8. Какую функцию называют квадратичной
О-9. График и свойства функции y = ax2
О-10. Сдвиг графика функции y = ax2 вдоль оси у
О-11. Сдвиг графика функции y = ax2 вдоль оси х
О-12. Сдвиг графика функции y = ax2 вдоль осей координат
О-13. График функции y = ax2 + bx + c
Проверочные работы
П-1. Действительные числа
П-2. Действительные числа
П-3. Действительные числа
П-4. Изображение действительных чисел на координатной прямой
П-5. Сравнение чисел
П-6. Свойства неравенств
П-7. Решение линейных неравенств
П-8. Решение линейных неравенств
П-9. Решение линейных неравенств
П-10. Решение линейных неравенств
П-11. Решение линейных неравенств
П-12. Решение систем линейных неравенств
П-13. Решение систем неравенств
П-14. Решение двойных неравенств
П-15. Доказательство неравенств
П-16. С точностью до...
П-17. Измерение точностью до...
П-18. Какую функцию называют квадратичной
П-19. График и свойства функции y = ax2
П-20. Сдвиг графика функции y = ax2 вдоль осей координат
П-21. График функции у = ах2
П-22. Квадратные неравенства
П-23. Вычисление значений выражений
П-24. Область определения выражения
П-25. Тождественные выражения
П-26. Упрощение выражений
П-27. Упрощение выражений
П-28. Целые уравнения
П-29. Дробные уравнения
П-30. Дробные уравнения
П-31. Решение задач
П-32. Решение задач
П-33. Решение задач
П-34. Системы уравнений с двумя переменными
П-35. Системы уравнений с двумя переменными
П-36. Решение задач с помощью систем уравнений
П-37. Решение задач с помощью систем уравнений
П-38. Решение задач с помощью систем уравнений
П-39. Графическое решение уравнений
П-40. Графическое решение уравнений
П-41. Графическое решение уравнений
П-42. Числовые последовательности
П-43. Арифметическая прогрессия
П-44. Сумма первых п членов арифметической прогрессии
П-45. Геометрическая прогрессия
П-46. Сумма первых п членов геометрической прогрессии
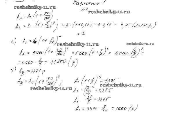
П-47. Простые и сложные проценты
П-48. Выборки
П-49. Интервальные ряды
П-50. Стандартное отклонение
П-51. Статистическое оценивание и прогноз
Готовая домашняя работа с ответами по Алгебре за 9 класс Евстафьева, Карп Дидактические материалы Просвещение 2017 ФГОС - П-47. Простые и сложные проценты Вариант 1