Алгебра за 9 класс Зив Дидактические материалы Виктория плюс ср-14 вариант 8
Решебник / самостоятельная работа / ср-14 / вариант 8

Контрольные работы
КР-1. Алгебраические уравнения. Системы алгебраических уравнений
КР-2. Степень с рациональным показателем
КР-3. Степенная функция
КР-4. Основные тригонометрические тождества
КР-5. Формулы сложения. Формулы приведения
КР-6. Прогрессии
КР-7. Итоговая
Проверочные работы на повторение
ПР-1
ПР-2
ПР-3
ПР-4
Самостоятельные работы
СР-1. Деление многочленов. Решение алгебраических уравнений
СР-2. Уравнения, сводящиеся к алгебраическим
СР-3. Системы нелинейных уравнений
СР-4. Решение задач с помощью уравнений
СР-5. Степень с целым показателем
СР-6. Корень натуральной степени
СР-7. Степень с рациональным показателем
СР-8. Упражнения на все действия над радикалами и степенями
СР-9. Область определения функции. Возрастание и убывание функции
СР-10. Четность и нечетность функции. Функция у = k делить на х
СР-11. Неравенства и уравнения, содержащие степень
СР-12. Радианная мера угла
СР-13. Тригонометрические тождества
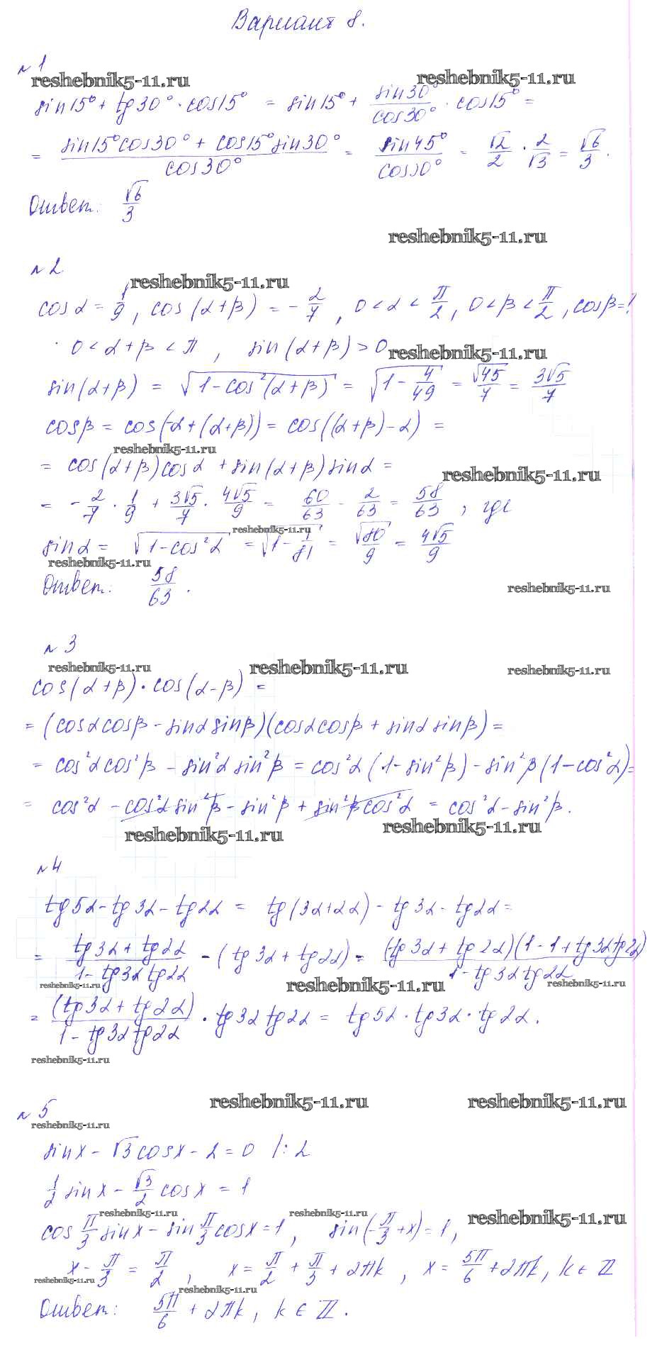
СР-14. Формулы сложения
СР-15. Синус и косинус двойного угла
СР-16. Формулы приведения
СР-17. Арифметическая прогрессия
СР-18. Геометрическая прогрессия
СР-19. Бесконечно убывающая геометрическая прогрессия. Смешанные задачи на прогрессии
Готовая домашняя работа с ответами по Алгебре за 9 класс Зив, Гольдич Дидактические материалы Виктория плюс 2013 ФГОС - СР-14. Формулы сложения вариант 8