Алгебра за 9 класс Макарычев Дидактические материалы Просвещение функции 3
Решебник / повторение / функции / 3

Самостоятельные работы
Вариант 1
Вариант 2
Контрольные работы
КР-1
КР-2
КР-3
КР-4
КР-5
КР-6
КР-7
КР-8
КР-9
Итоговый тест
Итоговое повторение по темам
Арифметическая и геометрическая прогрессии
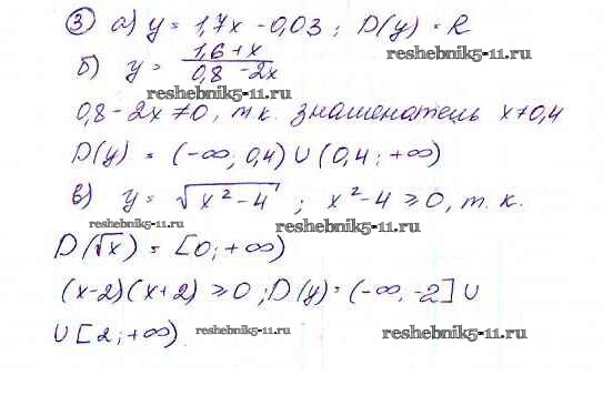
Функции
Уравнения и неравенства с одной переменной
Уравнения и неравенства с двумя переменными
Элементы комбинаторики и теории вероятностей
Задания для школьных олимпиад
Готовая домашняя работа с ответами по Алгебре за 9 класс Макарычев, Миндюк, Крайнева Дидактические материалы Просвещение 2015 ФГОС - Функции 3