Алгебра за 9 класс Попов Контрольные и самостоятельные работы УМК Экзамен ср-8 Вариант 1
Решебник / самостоятельная работа / ср-8 / вариант 1

Контрольные работы
КР-1. Рациональные неравенства и их системы
КР-2. Системы уравнений
КР-3. Числовые функции
КР-4. Прогрессии
КР-5. Элементы комбинаторики статистики
Самостоятельные работы
СР-1. Линейные и квадратные неравенства
СР-2. Рациональные неравенства
СР-3. Рациональные неравенства
СР-4. Множества и операции над ними
СР-5. Системы неравенств
СР-6. Системы уравнений. Основные понятия
СР-7. Методы решения систем уравнений
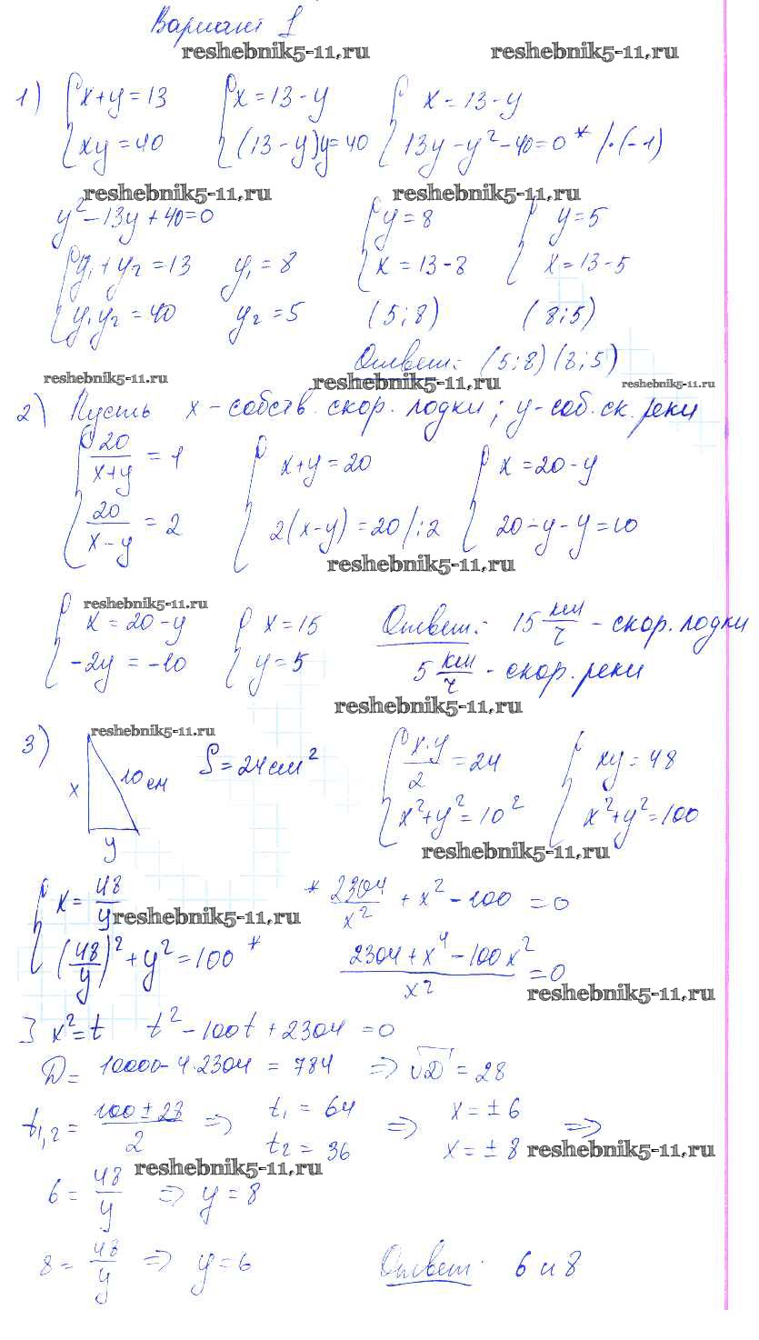
СР-8. Системы уравнений как математические модели реальных ситуаций
СР-9. Определение числовой функции
СР-10. Способы задания фунуций
СР-11. Свойства функций
СР-12. Четные и нечетные функции
СР-13. Функции y=xn(n є N) их свойства и графики
СР-14. Функции y=x-n(n є N) их свойства и графики
СР-15. Функция y=³√x ее свойства и график
СР-16. Числовые последовательности
СР-17. Арифметическая прогрессия
СР-18. Геометрическая прогрессия
СР-19. Комбинаторные задачи
СР-20. Статистика дизайн информации
СР-21. Простейшие вероятностные задачи
Готовая домашняя работа с ответами по Алгебре за 9 класс Попов Контрольные и самостоятельные работы УМК Экзамен 2011 ФГОС - СР-8. Системы уравнений как математические модели реальных ситуаций Вариант 1