Алгебра за 9 класс Журавлев Контрольные и самостоятельные работы УМК Экзамен к-5 Вариант №1
Решебник / контрольная работа / к-5 / вариант №1

Контрольные работы
К-1. Квадратичная функция
К-2. Решение неравенств
К-3. Целые уравнения и системы уравнений
К-4. Арифметическая прогрессия
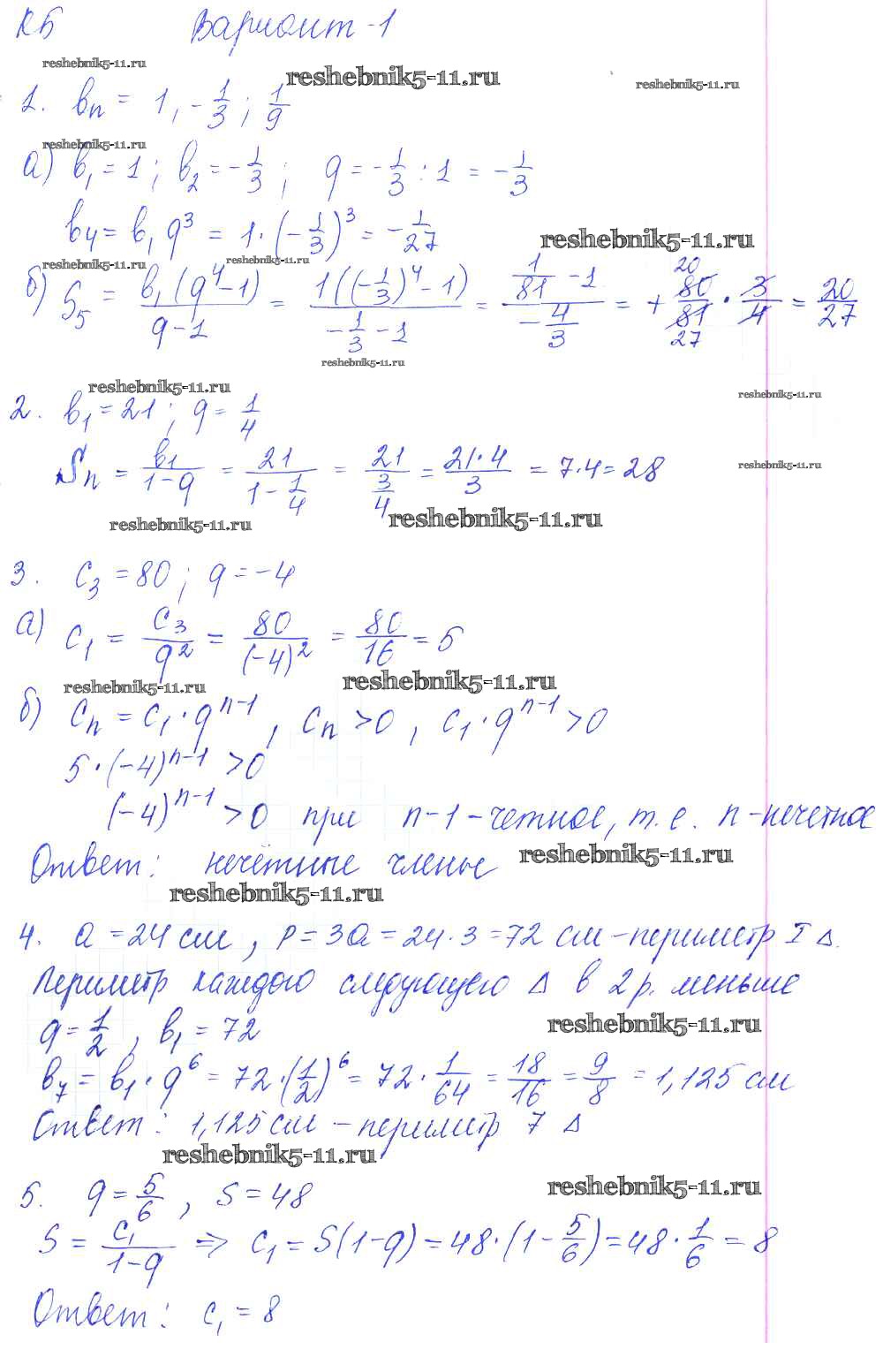
К-5. Геометрическая прогрессия
К-6. Степень с рациональным показателем
К-7. Элементы комбинаторики и теории вероятностей
К-8. Свойства тригонометрических функций. Тригонометрические тождества. Формулы приведения
К-9. Формулы сложения и их следствия
К-10. Итоговая контрольная работа
Самостоятельные работы
С-1. Функции и их свойства
С-2. Квадратный трехчлен
С-3. График квадратичной функции
С-4. Квадратичная функция - задачи с параметрами
С-5. Решение квадратичных неравенств
С-6. Решение неравенств методом интервалов
С-7. Решение целых уравнений
С-8. Уравнения высших степеней - методы решения, задачи с параметрами
С-9. Решение систем уравнений второй степени
С-10. Решение задач с помощью систем уравнений
С-11. Системы рациональных уравнений
С-12. Арифметическая прогрессия
С-13. Формула суммы n первых членов арифметической прогрессии
С-14. Геометрическая прогрессия
С-15. Формула суммы первых n членов геометрической прогрессии
С-16. Комбинированные задачи на прогрессии
С-17. Четные и нечетные функции. Функция у = хn
С-18. Корень n-й степени и его свойства
С-19. Определение и свойства степени с дробным показателем
С-20. Преобразование степенных выражений с рациональными показателями
С-21. Элементы комбинаторики
С-22. Начальные сведения из теории вероятностей
С-23. Элементы статистики и теории вероятностей
С-24. Определение тригонометрических функций
С-25. Свойства тригонометрических функций
С-26. Тригонометрические тождества и их применение
С-27. Формулы приведения
С-28. Формулы сложения
С-29. Формулы двойного угла
С-30. Формулы суммы и разности тригонометрических функций
С-31. Дополнительные тригонометрические задачи
Готовая домашняя работа с ответами по Алгебре за 9 класс Журавлев, Малышева, Свентковский Контрольные и самостоятельные работы УМК Экзамен 2016 ФГОС - К-5. Геометрическая прогрессия Вариант №1