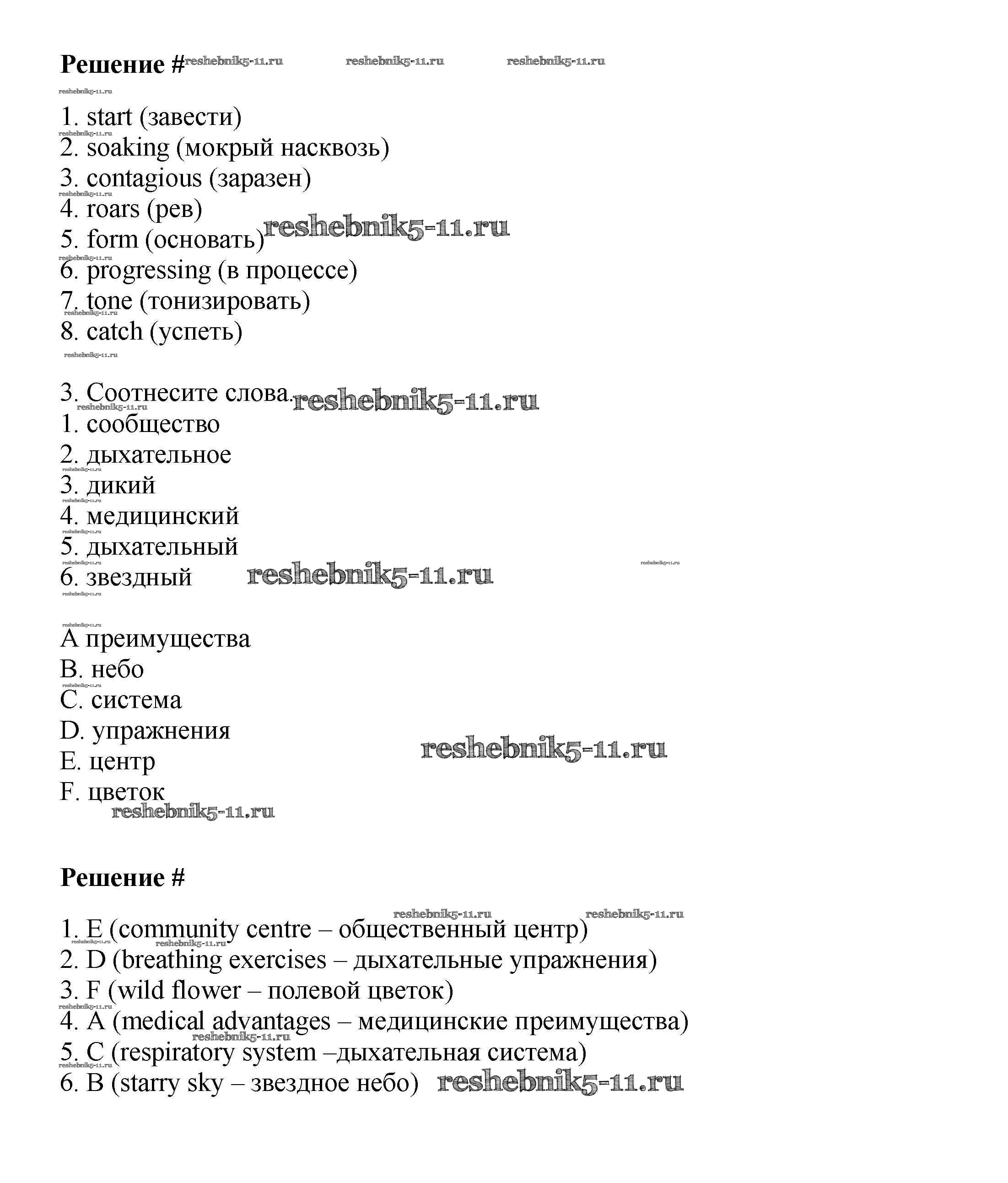
Английский язык за 9 класс Баранова Учебник Starlight Углубленный уровень Просвещение vocabulary bank VB15
Решебник / vocabulary bank / VB15



Starter Module
Module 1. Lifestyles
Module 2. Extreme facts
Module 3. Body and Soul
Module 4. Art & Entertainment
Module 5. Breakthroughs
Module 6. Back in time
Revision
Vocabulary Bank
Writing Bank
Listening Practice
Grammar & Vocabulary (Use of English)
Key Word Transformations
Готовая домашняя работа с ответами по Английскому языку за 9 класс Баранова, Дули, Эванс, Копылова, Мильруд Учебник Starlight Углубленный уровень Просвещение 2017 ФГОС - Vocabulary Bank VB15