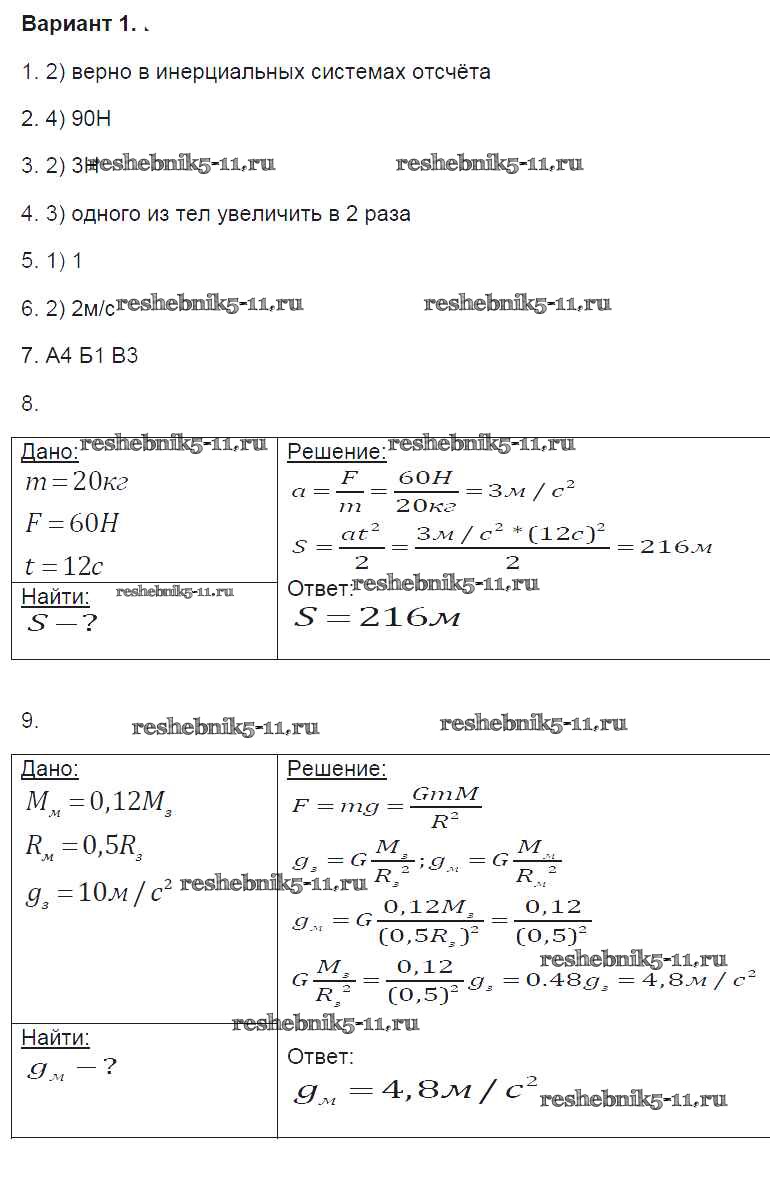
Физика за 9 класс Громцева Контрольные и самостоятельные работы УМК Экзамен 1. вариант 1
Решебник / контрольная работа / глава 1 / 1. вариант / 1

Самостоятельные работы
СР-1. Варианты
СР-2. Варианты
СР-3. Варианты
СР-4. Варианты
СР-5. Варианты
СР-6. Варианты
СР-7. Варианты
СР-8. Варианты
СР-9. Варианты
СР-10. Варианты
СР-11. Варианты
СР-12. Варианты
СР-13. Варианты
СР-14. Варианты
СР-15. Варианты
СР-16. Варианты
СР-17. Варианты
СР-18. Варианты
СР-19. Варианты
СР-20. Варианты
СР-21. Варианты
СР-22. Варианты
СР-23. Варианты
СР-24. Варианты
СР-25. Варианты
СР-26. Варианты
СР-27. Варианты
СР-28. Варианты
СР-29. Варианты
СР-30. Варианты
СР-31. Варианты
СР-32. Варианты
СР-33. Варианты
СР-34. Варианты
СР-35. Варианты
СР-36. Варианты
СР-37. Варианты
СР-38. Варианты
СР-39. Варианты
СР-40. Варианты
СР-41. Варианты
СР-42. Варианты
СР-43. Варианты
СР-44. Варианты
СР-45. Варианты
СР-46. Варианты
СР-47. Варианты
СР-48. Варианты
СР-49. Варианты
СР-50. Варианты
СР-51. Варианты
СР-52. Варианты
СР-53. Варианты
СР-54. Варианты
СР-55. Варианты
СР-56. Варианты
СР-57. Варианты
СР-58. Варианты
СР-59. Варианты
СР-60. Варианты
СР-61. Варианты
СР-62. Варианты
Контрольные работы
Глава 1
1. Варианты
2. Варианты
Глава 2. Варианты
Глава 3. Варианты
Глава 4. Варианты
Глава 5. Варианты
Готовая домашняя работа с ответами по Физике за 9 класс Громцева Контрольные и самостоятельные работы УМК Экзамен 2017 ФГОС - 1. Варианты 1