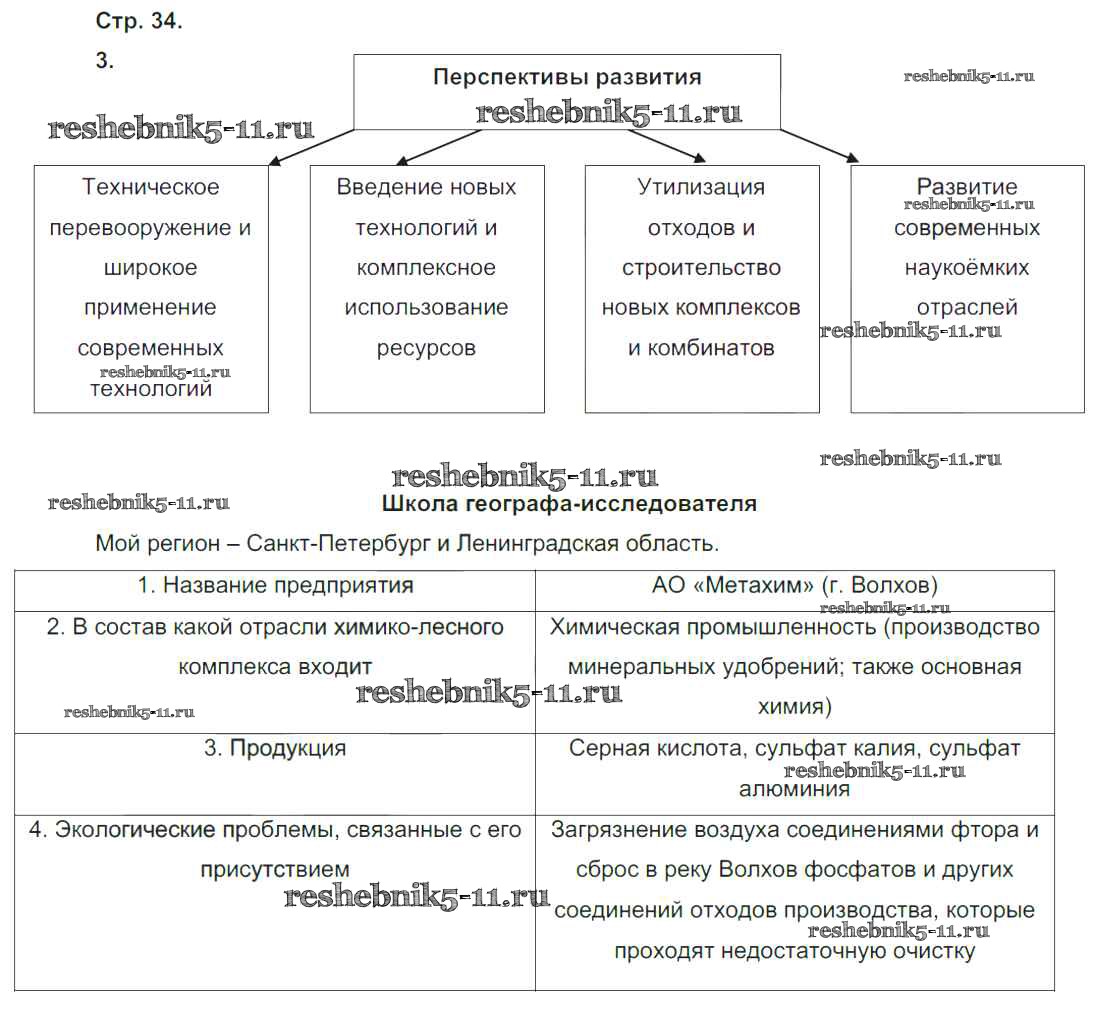
География за 9 класс Таможняя Рабочая тетрадь Алгоритм успеха Вентана-граф часть 1. страница 34
Решебник / часть 1. страница / 34
 
                                Часть 1. Страницы
Часть 2. Страницы
Готовая домашняя работа с ответами по Географии за 9 класс Таможняя, Толкунова Рабочая тетрадь Алгоритм успеха Вентана-граф 2017 ФГОС - Часть 1. Страницы 34