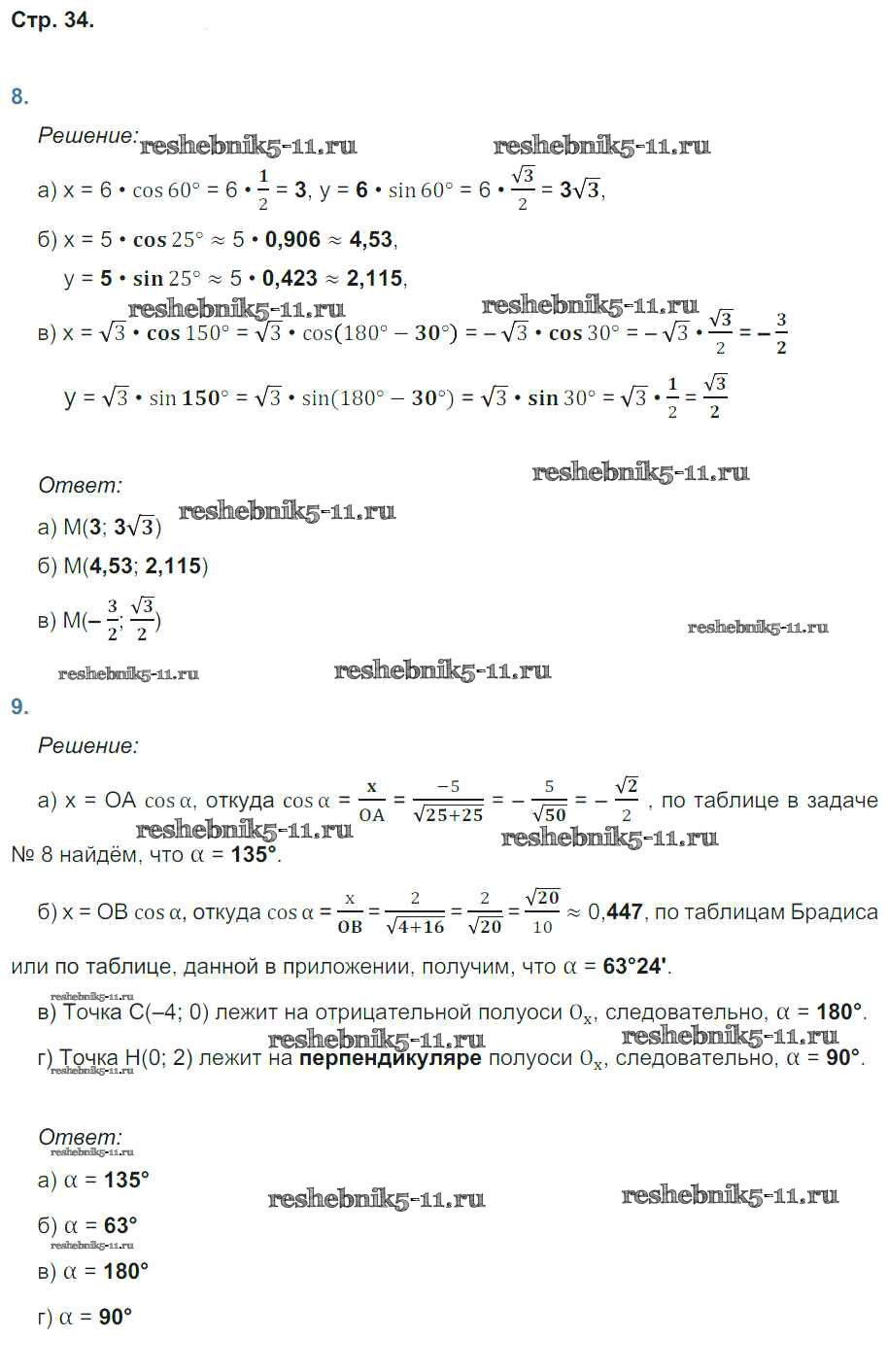
Геометрия за 9 класс Глазков Рабочая тетрадь УМК Экзамен страница 34
Решебник / страница / 34

Готовая домашняя работа с ответами по Геометрии за 9 класс Глазков, Камаев Рабочая тетрадь УМК Экзамен 2013 ФГОС - Страницы 34
Готовая домашняя работа с ответами по Геометрии за 9 класс Глазков, Камаев Рабочая тетрадь УМК Экзамен 2013 ФГОС - Страницы 34