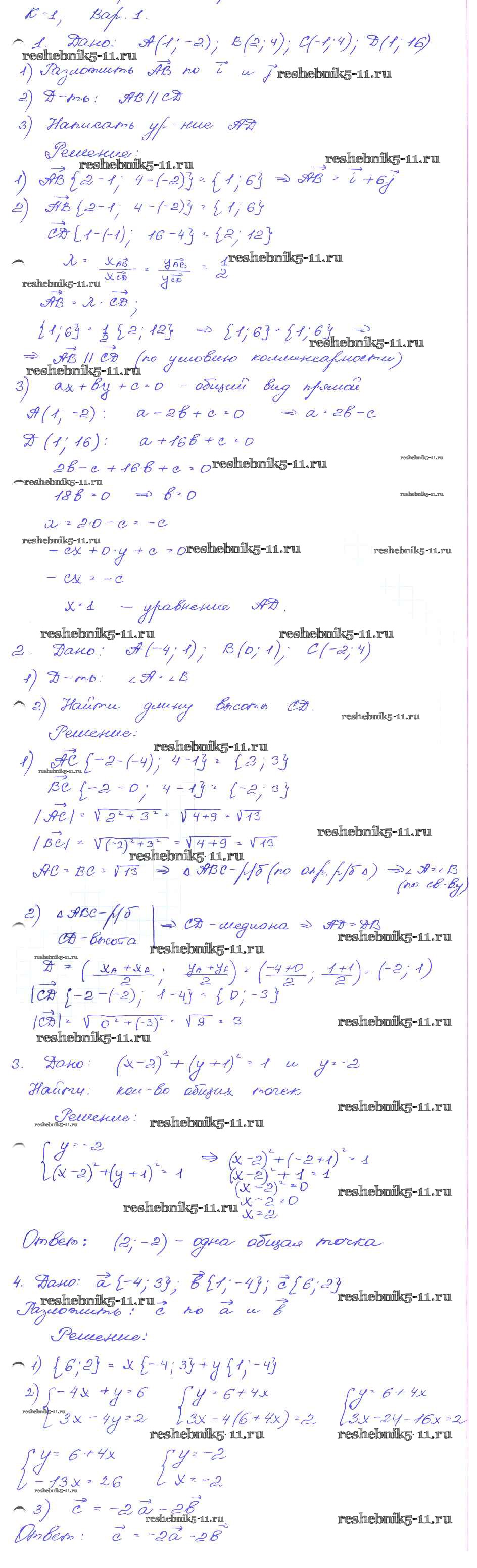
Геометрия за 9 класс Зив Дидактические материалы Просвещение кр-1. вариант 1
Решебник / контрольные работы / кр-1. вариант / 1

Самостоятельные работы
СР-1. Варианты
СР-2. Варианты
СР-3. Варианты
СР-4. Варианты
СР-5. Варианты
СР-6. Варианты
СР-7. Варианты
СР-8. Варианты
СР-9. Варианты
СР-10. Варианты
СР-11. Варианты
СР-12. Варианты
СР-13. Варианты
СР-14. Варианты
СР-15. Варианты
СР-16. Варианты
СР-17. Варианты
СР-18. Варианты
СР-19. Варианты
СР-20. Варианты
Математические диктанты
МД-1. Варианты
МД-2. Варианты
Контрольные работы
КР-1. Варианты
КР-2. Варианты
КР-3. Варианты
Проверочные работы
ПР-1. Варианты
Готовая домашняя работа с ответами по Геометрии за 9 класс Зив Дидактические материалы Просвещение 2016 ФГОС - КР-1. Варианты 1