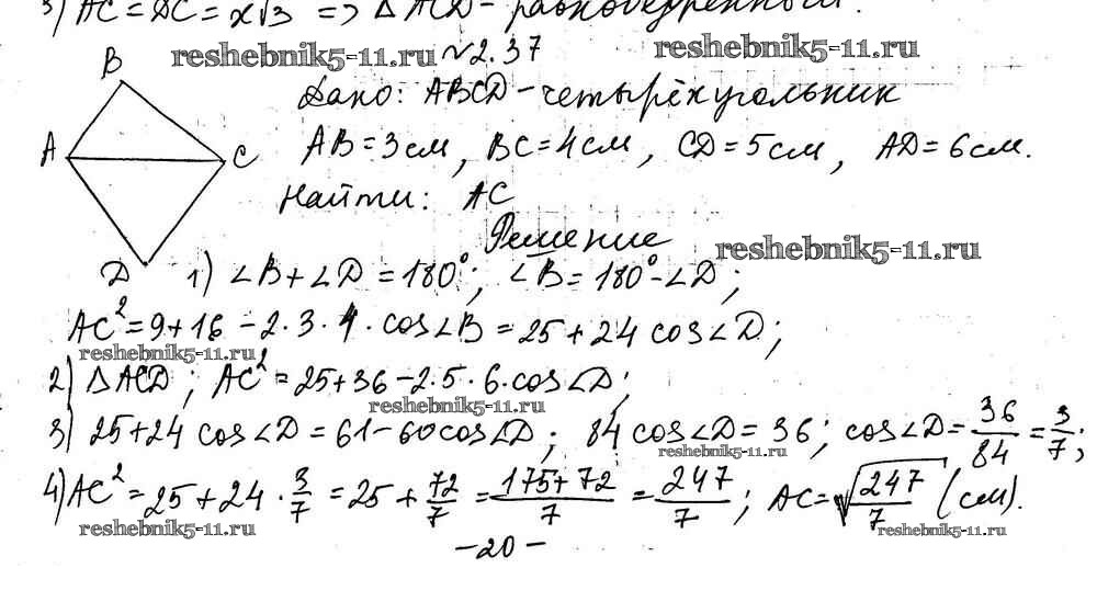
Геометрия за 9 класс Мерзляк Учебник Углубленный уровень Вентана-граф §2 2.37
Решебник / глава 1 / §2 / 2.37


Глава 1. Решение треугольников
§1
§2
§3
§4
§5
Глава 2. Правильные многоугольники
§6
§7
Глава 3. Декартовы координаты на плоскости
§8
§9
§10
§11
§12
Глава 4. Векторы
§13
§14
§15
§16
§17
Глава 5. Преобразования фигур
§19
§20
§21
§22
§23
Готовая домашняя работа с ответами по Геометрии за 9 класс Мерзляк, Поляков Учебник Углубленный уровень Вентана-граф 2019 ФГОС - §2 2.37