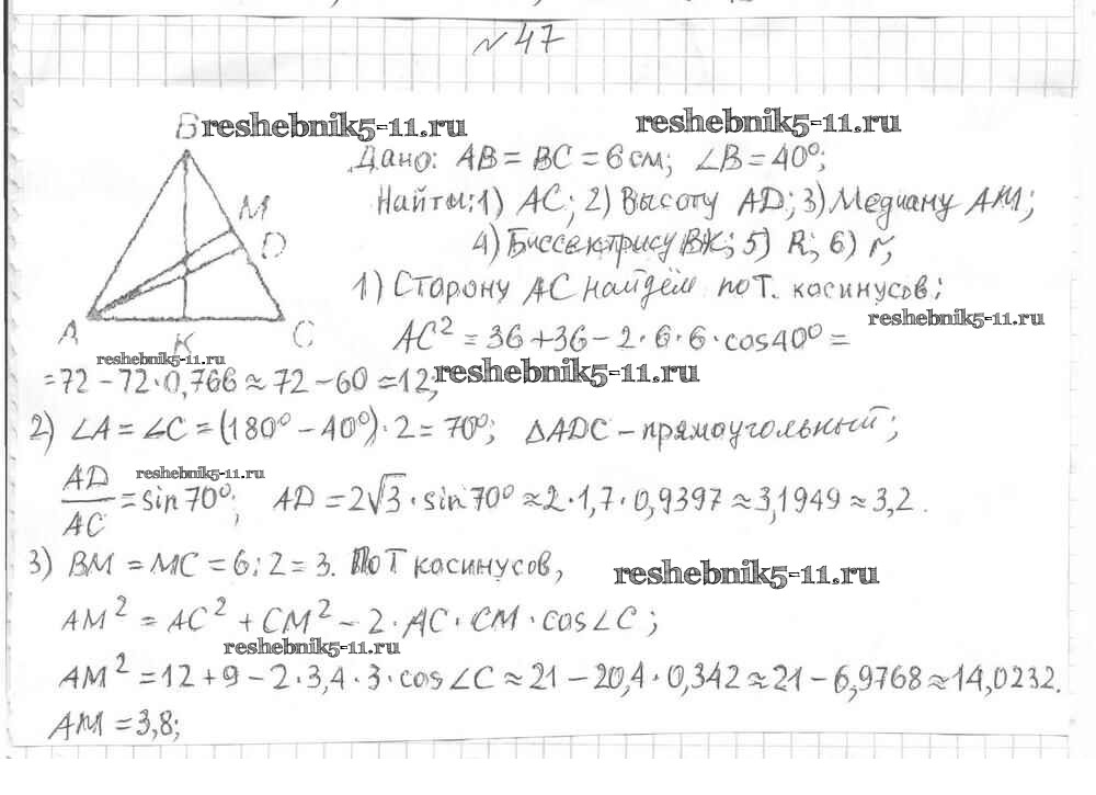
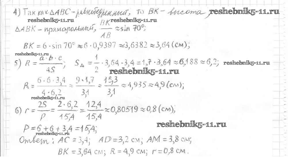
Геометрия за 9 класс Мерзляк Дидактические материалы Алгоритм успеха Вентана-граф вариант 1. упражнение 47
Решебник / вариант 1. упражнение / 47


Вариант 1. Упражнения
Вариант 2. Упражнения
1
2
3
4
5
6
7
8
9
10
11
12
13
14
15
16
17
18
19
24
27
28
29
30
31
32
34
35
36
37
38
41
42
43
46
47
51
52
53
54
56
57
58
59
60
61
62
64
65
66
67
68
70
71
72
74
75
77
78
79
82
83
84
91
92
93
94
95
96
97
98
99
100
101
102
103
104
105
106
107
108
109
110
111
112
113
114
115
116
117
118
119
120
121
122
123
124
125
126
127
128
129
130
131
132
133
134
135
136
137
138
139
140
141
142
143
144
145
146
147
148
149
Контрольные работы
КР-1. Варианты
КР-2. Варианты
КР-3. Варианты
КР-4. Варианты
КР-5. Варианты
КР-6. Варианты
Готовая домашняя работа с ответами по Геометрии за 9 класс Мерзляк, Полонский, Рабинович Дидактические материалы Алгоритм успеха Вентана-граф 2017 ФГОС - Вариант 1. Упражнения 47