Геометрия за 9 класс Гаврилова Поурочные разработки ВАКО уровень 2 2
Решебник / контрольная работа 1 / уровень 2 / 2

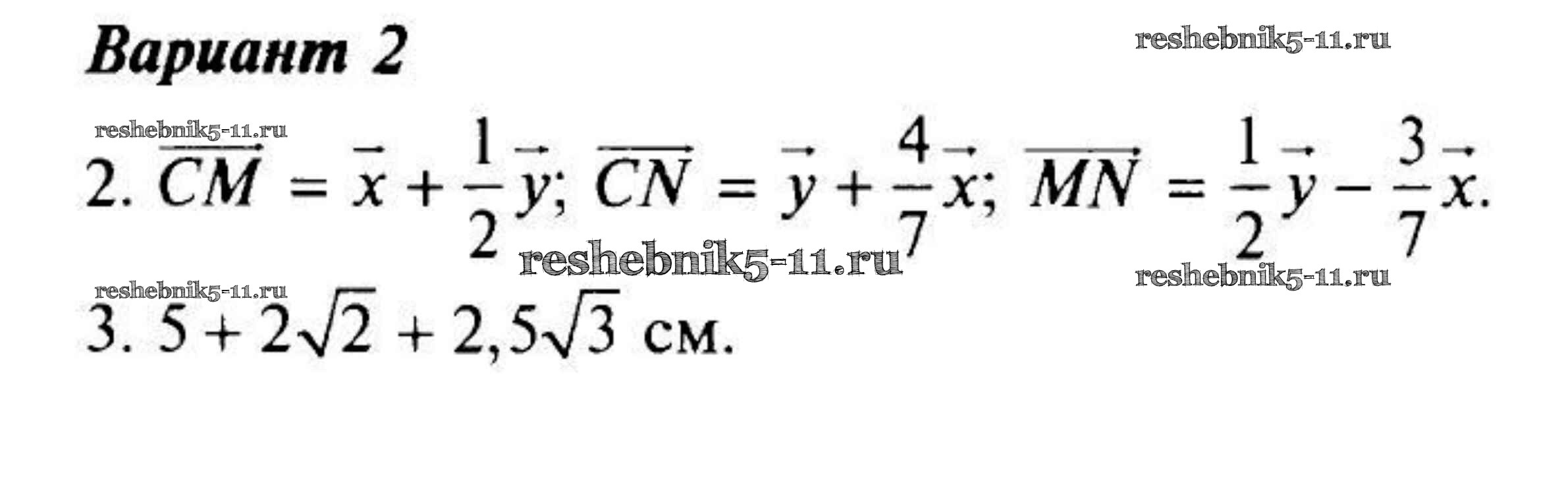
Готовая домашняя работа с ответами по Геометрии за 9 класс Гаврилова Поурочные разработки ВАКО 2009 - Уровень 2 2
Готовая домашняя работа с ответами по Геометрии за 9 класс Гаврилова Поурочные разработки ВАКО 2009 - Уровень 2 2