Химия за 9 класс Еремин Рабочая тетрадь Дрофа параграф 38 (упражнение) 5
Решебник / параграф 38 (упражнение) / 5
 
                                Параграф 1 (Упражнения)
Параграф 2 (Упражнения)
Параграф 3 (Упражнения)
Параграф 4 (Упражнения)
Параграф 5 (Упражнения)
Параграф 6 (Упражнения)
Параграф 7 (Упражнения)
Параграф 8 (Упражнения)
Параграф 9 (Упражнения)
Параграф 10 (Упражнения)
Параграф 11 (Упражнения)
Параграф 12 (Упражнения)
Параграф 13 (Упражнения)
Параграф 14 (Упражнения)
Параграф 15 (Упражнения)
Параграф 16 (Упражнения)
Параграф 17 (Упражнения)
Параграф 18 (Упражнения)
Параграф 19 (Упражнения)
Параграф 20 (Упражнения)
Параграф 21 (Упражнения)
Параграф 22 (Упражнения)
Параграф 23 (Упражнения)
Параграф 24 (Упражнения)
Параграф 25 (Упражнения)
Параграф 26 (Упражнения)
Параграф 27 (Упражнения)
Параграф 28 (Упражнения)
Параграф 29 (Упражнения)
Параграф 30 (Упражнения)
Параграф 31 (Упражнения)
Параграф 32 (Упражнения)
Параграф 33 (Упражнения)
Параграф 34 (Упражнения)
Параграф 35 (Упражнения)
Параграф 36 (Упражнения)
Параграф 37 (Упражнения)
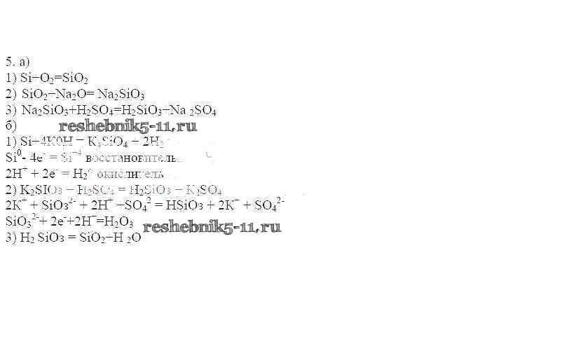
Параграф 38 (Упражнения)
Параграф 39 (Упражнения)
Параграф 40 (Упражнения)
Параграф 41 (Упражнения)
Параграф 42 (Упражнения)
Параграф 43 (Упражнения)
Параграф 44 (Упражнения)
Параграф 45 (Упражнения)
Готовимся к контрольной работе к параграфу 8
Готовимся к контрольной работе к параграфу 21
Готовимся к контрольной работе к параграфу 38
Готовимся к контрольной работе к параграфу 45
Готовая домашняя работа с ответами по Химии за 9 класс Еремин, Дроздов, Шипарева Рабочая тетрадь Дрофа 2020 - Параграф 38 (Упражнения) 5