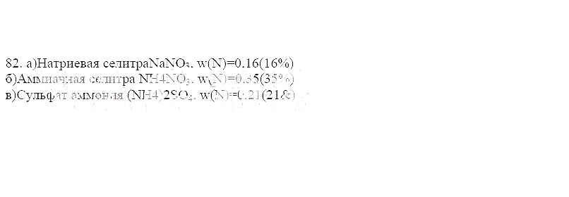
Химия за 9 класс Габрусева Рабочая тетрадь Просвещение страница № 30
Решебник №1 / страница № / 30
 
                                 
                                 
                                Решебник №2 / страница № / 30
 
                                Готовая домашняя работа с ответами по Химии за 9 класс Габрусева Рабочая тетрадь Просвещение 2012 ФГОС - Страницы 30