Обществознание за 9 класс Котова Рабочая тетрадь УМК Просвещение страница 52
Решебник / страница / 52

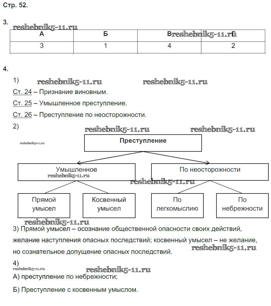
Готовая домашняя работа с ответами по Обществознанию за 9 класс Котова, Лискова Рабочая тетрадь УМК Просвещение 2016 ФГОС - Страницы 52
Готовая домашняя работа с ответами по Обществознанию за 9 класс Котова, Лискова Рабочая тетрадь УМК Просвещение 2016 ФГОС - Страницы 52