Алгебра за 10 класс Глизбург Контрольные работы Базовый и углубленный уровень Мнемозина кр-2 вариант 3
Решебник / контрольные работы / кр-2 / вариант 3
 
                                 
                                 
                                Контрольные работы
КР-1
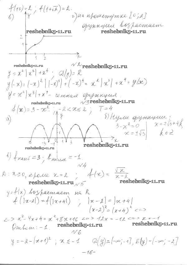
КР-2
КР-3
КР-4
КР-5
КР-6
КР-7
КР-8
КР-9
Готовая домашняя работа с ответами по Алгебре за 10 класс Глизбург Контрольные работы Базовый и углубленный уровень Мнемозина 2014 ФГОС - КР-2 вариант 3