Алгебра за 10 класс Глизбург Контрольные работы Базовый и углубленный уровень Мнемозина кр-4 вариант 1
Решебник / контрольные работы / кр-4 / вариант 1
 
                                 
                                 
                                 
                                Контрольные работы
КР-1
КР-2
КР-3
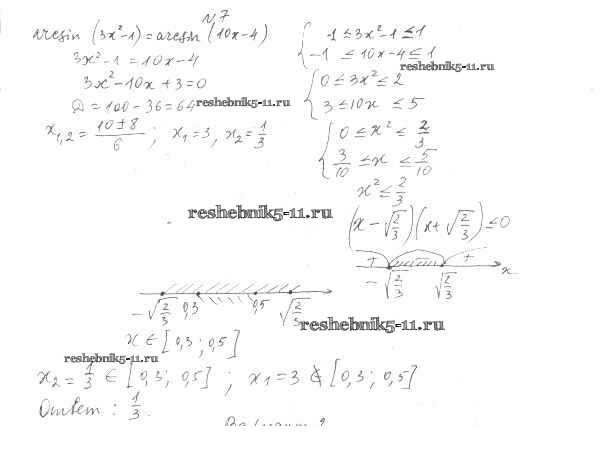
КР-4
КР-5
КР-6
КР-7
КР-8
КР-9
Готовая домашняя работа с ответами по Алгебре за 10 класс Глизбург Контрольные работы Базовый и углубленный уровень Мнемозина 2014 ФГОС - КР-4 вариант 1