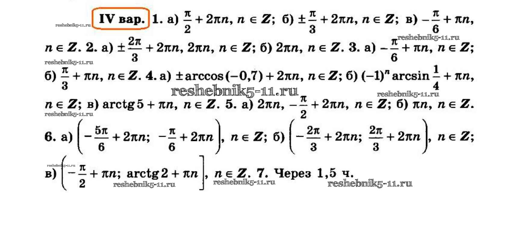
Алгебра за 10 класс Потапов Дидактические материалы МГУ - школе Просвещение контрольная работа 7 4
Решебник / контрольная работа 7 / 4

Готовая домашняя работа с ответами по Алгебре за 10 класс Потапов, Шевкин Дидактические материалы МГУ - школе Просвещение 2019 - Контрольные работы 7 4