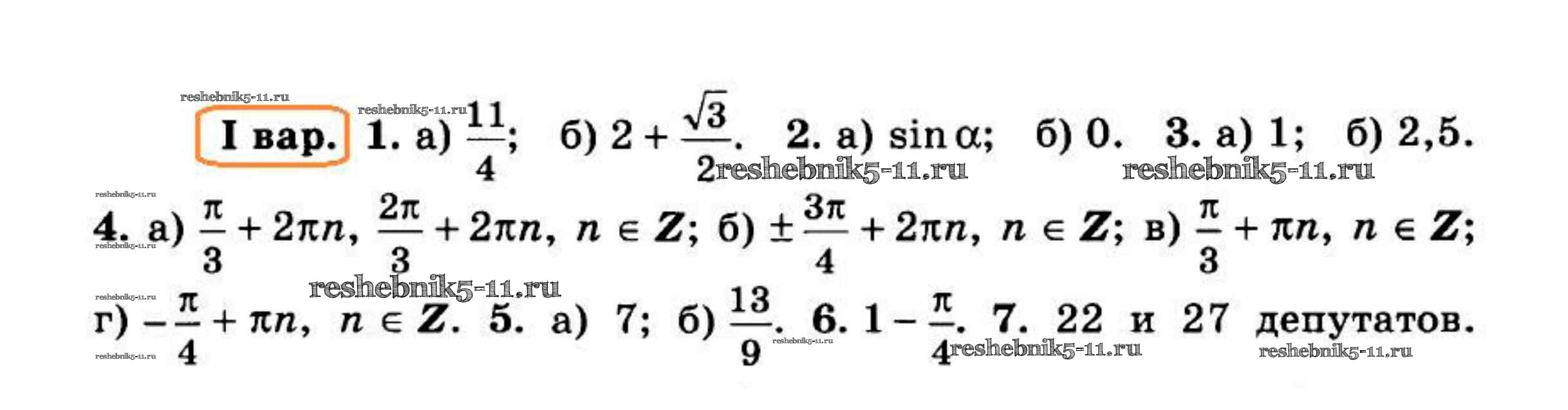
Алгебра за 10 класс Потапов Дидактические материалы МГУ - школе Просвещение контрольная работа 5 1
Решебник / контрольная работа 5 / 1
 
                                Готовая домашняя работа с ответами по Алгебре за 10 класс Потапов, Шевкин Дидактические материалы МГУ - школе Просвещение 2019 - Контрольные работы 5 1