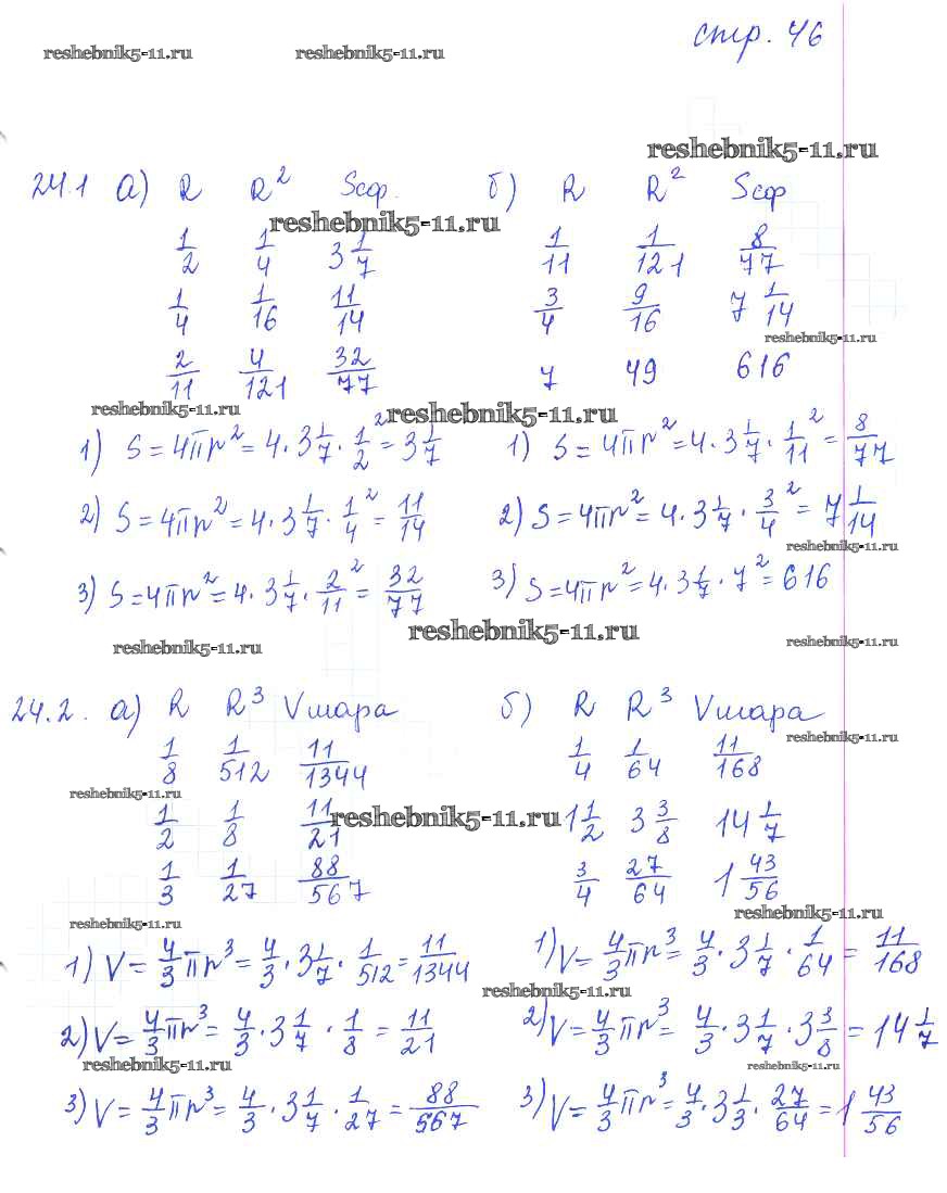
Математика за 6 класс Зубарева Рабочая тетрадь Мнемозина часть 1. страница 46
Решебник / часть 1. страница / 46

Часть 1. Страницы
Часть 2. Страницы
Готовая домашняя работа с ответами по Математике за 6 класс Зубарева Рабочая тетрадь Часть 1, 2 Мнемозина 2016 ФГОС - Часть 1. Страницы 46