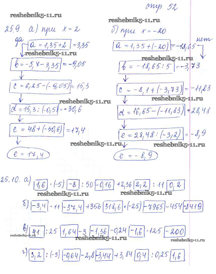
Математика за 6 класс Зубарева Рабочая тетрадь Мнемозина часть 2. страница 52
Решебник / часть 2. страница / 52

Часть 1. Страницы
Часть 2. Страницы
Готовая домашняя работа с ответами по Математике за 6 класс Зубарева Рабочая тетрадь Часть 1, 2 Мнемозина 2016 ФГОС - Часть 2. Страницы 52