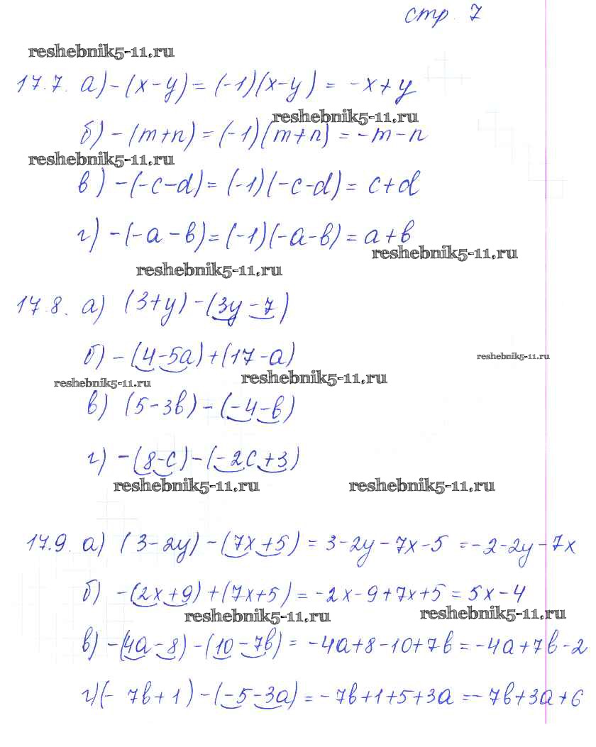
Математика за 6 класс Зубарева Рабочая тетрадь Мнемозина часть 2. страница 7
Решебник / часть 2. страница / 7

Часть 1. Страницы
Часть 2. Страницы
Готовая домашняя работа с ответами по Математике за 6 класс Зубарева Рабочая тетрадь Часть 1, 2 Мнемозина 2016 ФГОС - Часть 2. Страницы 7