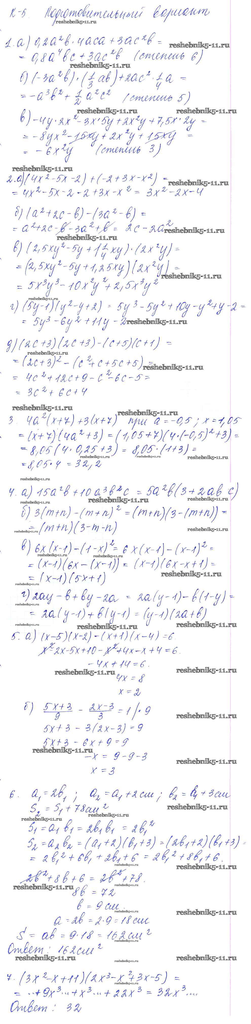
Алгебра за 7 класс Звавич Дидактические материалы УМК Экзамен кр-5 Подготовительный вариант
Решебник / контрольная работа / кр-5 / подготовительный вариант

Установочный тест
Самостоятельные работы
Ср-1
Ср-2
Ср-3
Ср-4
Ср-5
Ср-6
Ср-7
Ср-8
Ср-9
Ср-10
Ср-11
Ср-12
Ср-13
Ср-14
Ср-15
Ср-16
Ср-17
Ср-18
Ср-19
Ср-20
Ср-21
Ср-22
Ср-23
Ср-24
Ср-25
Ср-26
Ср-27
Ср-28
Ср-29
Ср-30
Тесты
Тест 1
Тест 2
Тест 3
Тест 4
Тест 5
Тест 6
Тест 7
Тест 8
Контрольные работы
КР-1
КР-2
КР-3
КР-4
КР-5
КР-6
КР-7
Итоговая контрольная работа
Билеты
Для тех, кому интересно
Готовая домашняя работа с ответами по Алгебре за 7 класс Звавич, Дьяконова Дидактические материалы УМК Экзамен 2018 ФГОС - КР-5 Подготовительный вариант