Физика за 7 класс Перышкин Учебник Вертикаль Дрофа упражнение 5
Решебник / старое издание / упражнение / 5

Новое издание (бело-красный учебник)
Упражнения
Задания. Параграфы
Вопросы. Параграфы
Проверь себя
Старое издание (синий учебник)
Упражнения
Задания
Вопросы. Параграфы
Лабораторные работы
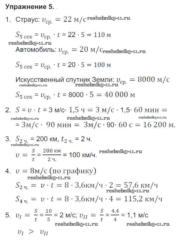
Готовая домашняя работа с ответами по Физике за 7 класс Перышкин Учебник Вертикаль Дрофа 2016 ФГОС - Упражнения 5