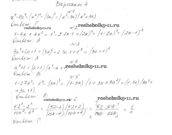
Алгебра за 7-9 класс Мордкович Тесты Базовый уровень Мнемозина 7 класс Тест 9
Решебник 1 / 7 класс / тест 9

Решебник 2 / 7 класс / тест 9


Готовая домашняя работа с ответами по Алгебре за 7, 8, 9 класс Мордкович, Тульчинкая Тесты Базовый уровень Мнемозина 2013 ФГОС - 7 класс Тест 9