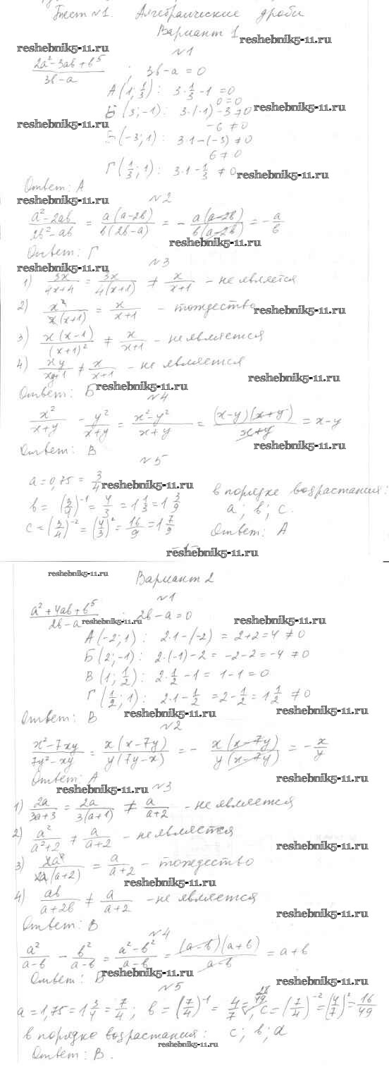
Алгебра за 7-9 класс Мордкович Тесты Базовый уровень Мнемозина 8 класс Тест 1
Решебник 1 / 8 класс / тест 1

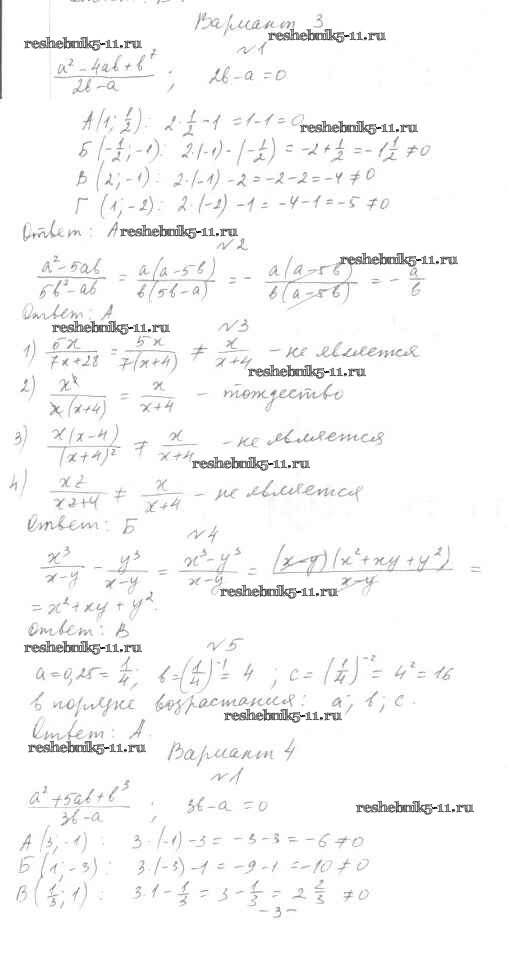
Решебник 2 / 8 класс / тест 1



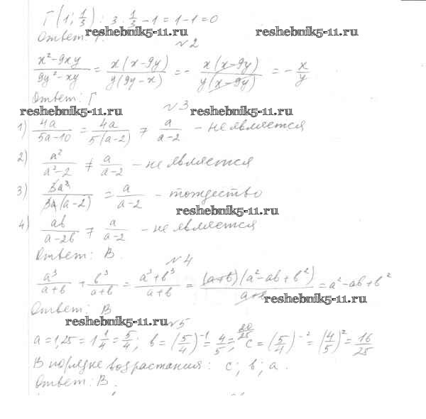
Готовая домашняя работа с ответами по Алгебре за 7, 8, 9 класс Мордкович, Тульчинкая Тесты Базовый уровень Мнемозина 2013 ФГОС - 8 класс Тест 1