Алгебра за 9 класс Потапов Дидактические материалы МГУ - школе Просвещение ср №16 вариант 2
Решебник 1 / самостоятельная работа / ср №16 / вариант 2

Контрольные работы
КР №1
КР №2
КР №3
КР №4
КР №5
КР №6
КР №7
КР №8
Итоговая КР
Самостоятельные работы
СР №1. Линейные неравенства с одним неизвестным
СР №2. Линейные неравенства с параметром
СР №3. Системы линейных неравенств с одним неизвестным
СР №4. Системы линейных неравенств с параметром
СР №5. Неравенства второй степени
СР №6. Неравенства второй степени с параметром
СР №7. Рациональные неравенства
СР №8. Рациональные неравенства
СР №9. Системы рациональных неравенств
СР №10. Нестрогие неравенства
СР №11. Нестрогие неравенства
СР №12. Замена неизвестного при решении рациональных неравенств
СР №13. Замена неизвестного при решении иррациональных уравнений и неравенств
СР №14. Корень степени n
СР №15. Корень степени n
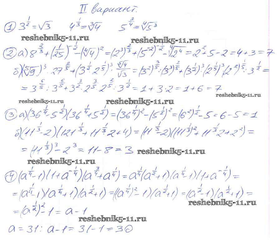
СР №16. Степень с рациональным показателем
СР №17. Числовые последовательности
СР №18. Арифметическая прогрессия
СР №19. Геометрическая прогрессия
СР №20. Задачи на прогрессии
СР №21. Градусная и радианная меры угла
СР №22. Координаты некоторых точек единичной окружности
СР №23. Синус и косинус угла
СР №24. Формулы для синуса и косинуса угла
СР №25. Тангенс и котангенс угла
СР №26. Косинус суммы и косинус разности двух углов. Синус суммы и синус разности двух углов
СР №27. Формулы приведения для синуса и косинуса
СР №28. Сумма и разность синусов и косинусов
СР №29. Формулы для двойных и половинных углов
СР №30. Произведения синусов и косинусов
СР №31. Абсолютная и относительная погрешности
СР №32. Приближения суммы, разности, произведения и частного чисел
Тесты для самоконтроля
Готовая домашняя работа с ответами по Алгебре за 9 класс Потапов, Шевкин Дидактические материалы МГУ - школе Просвещение 2010 ФГОС - СР №16. Степень с рациональным показателем вариант 2