Алгебра за 9 класс Потапов Дидактические материалы МГУ - школе Просвещение ср №24 вариант 1

Решебник 1 / самостоятельная работа / ср №24 / вариант 1

Контрольные работы

КР №1

КР №2

КР №3

КР №4

КР №5

КР №6

КР №7

КР №8

Итоговая КР

Самостоятельные работы

СР №1. Линейные неравенства с одним неизвестным

СР №2. Линейные неравенства с параметром

СР №3. Системы линейных неравенств с одним неизвестным

СР №4. Системы линейных неравенств с параметром

СР №5. Неравенства второй степени

СР №6. Неравенства второй степени с параметром

СР №7. Рациональные неравенства

СР №8. Рациональные неравенства

СР №9. Системы рациональных неравенств

СР №10. Нестрогие неравенства

СР №11. Нестрогие неравенства

СР №12. Замена неизвестного при решении рациональных неравенств

СР №13. Замена неизвестного при решении иррациональных уравнений и неравенств

СР №14. Корень степени n

СР №15. Корень степени n

СР №16. Степень с рациональным показателем

СР №17. Числовые последовательности

СР №18. Арифметическая прогрессия

СР №19. Геометрическая прогрессия

СР №20. Задачи на прогрессии

СР №21. Градусная и радианная меры угла

СР №22. Координаты некоторых точек единичной окружности

СР №23. Синус и косинус угла

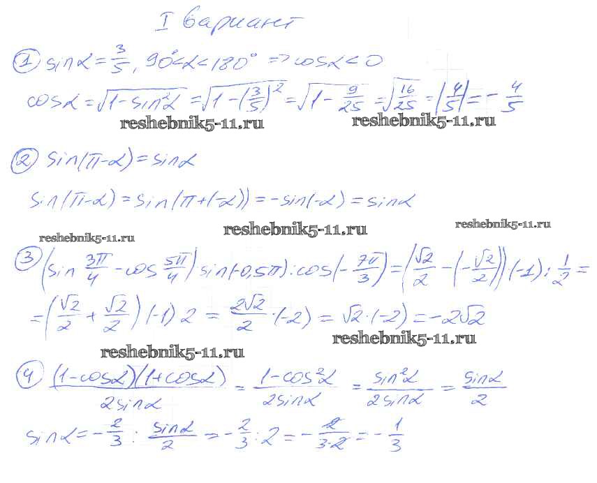
СР №24. Формулы для синуса и косинуса угла

СР №25. Тангенс и котангенс угла

СР №26. Косинус суммы и косинус разности двух углов. Синус суммы и синус разности двух углов

СР №27. Формулы приведения для синуса и косинуса

СР №28. Сумма и разность синусов и косинусов

СР №29. Формулы для двойных и половинных углов

СР №30. Произведения синусов и косинусов

СР №31. Абсолютная и относительная погрешности

СР №32. Приближения суммы, разности, произведения и частного чисел

Тесты для самоконтроля

Готовая домашняя работа с ответами по Алгебре за 9 класс Потапов, Шевкин Дидактические материалы МГУ - школе Просвещение 2010 ФГОС - СР №24. Формулы для синуса и косинуса угла вариант 1