Алгебра за 9 класс Кузнецова Контрольные работы Просвещение кр-2 вариант №3
Решебник / кр-2 / вариант №3

КР-1. Неравенства
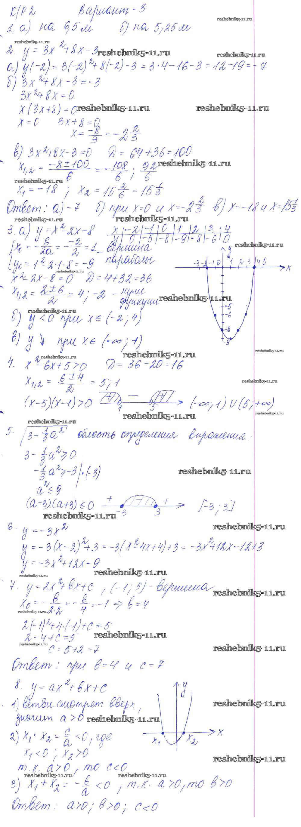
КР-2. Квадратичная функция
КР-3. Рациональные выражения. Уравнения с одной переменной
КР-4. Системы уравнений
КР-5. Арифметическая и геометрическая прогрессии
КР-6. Итоговая работа за первое полугодие
КР-7. Итоговая работа за курс 9 класса
Готовая домашняя работа с ответами по Алгебре за 9 класс Кузнецова, Минаева, Рослова, Суворова Контрольные работы Просвещение 2016 ФГОС - КР-2. Квадратичная функция вариант №3