Алгебра за 9 класс Кузнецова Контрольные работы Просвещение кр-5 вариант №4
Решебник / кр-5 / вариант №4

КР-1. Неравенства
КР-2. Квадратичная функция
КР-3. Рациональные выражения. Уравнения с одной переменной
КР-4. Системы уравнений
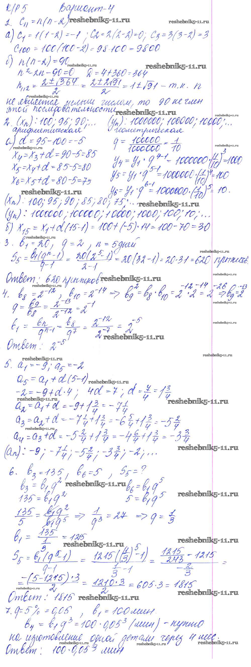
КР-5. Арифметическая и геометрическая прогрессии
КР-6. Итоговая работа за первое полугодие
КР-7. Итоговая работа за курс 9 класса
Готовая домашняя работа с ответами по Алгебре за 9 класс Кузнецова, Минаева, Рослова, Суворова Контрольные работы Просвещение 2016 ФГОС - КР-5. Арифметическая и геометрическая прогрессии вариант №4