Алгебра за 11 класс Глизбург Контрольные работы Базовый и углубленный уровень Мнемозина кр-4 Вариант-6
Решебник / кр-4 / вариант-6



КР-1
КР-2
КР-3
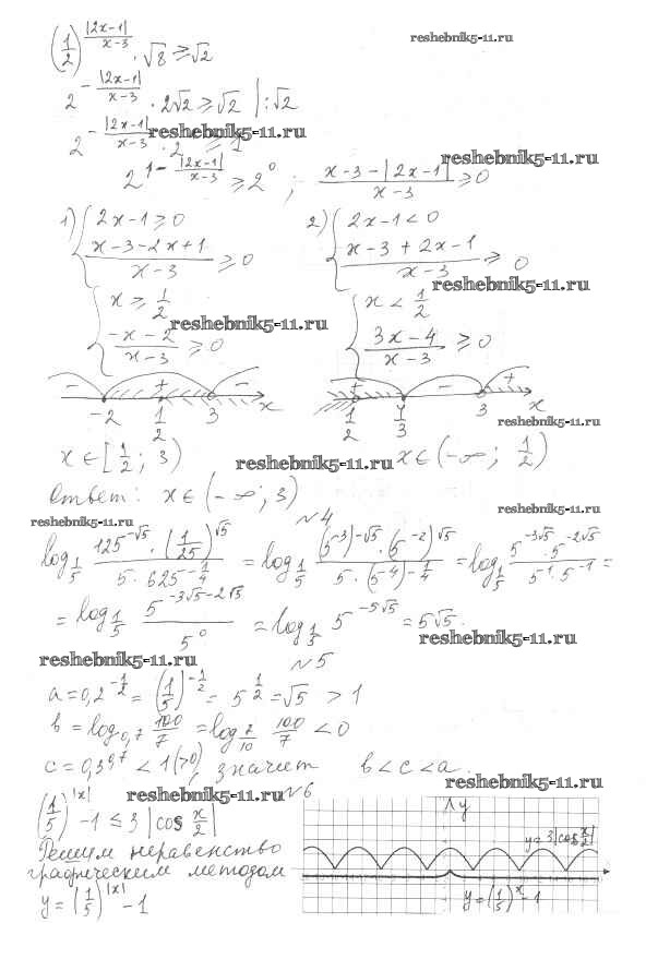
КР-4
КР-5
КР-6
КР-7
КР-8
Готовая домашняя работа с ответами по Алгебре за 11 класс Глизбург Контрольные работы Базовый и углубленный уровень Мнемозина 2016 ФГОС - КР-4 Вариант-6