Алгебра за 11 класс Глизбург Контрольные работы Базовый и углубленный уровень Мнемозина кр-6 Вариант-2
Решебник / кр-6 / вариант-2



КР-1
КР-2
КР-3
КР-4
КР-5
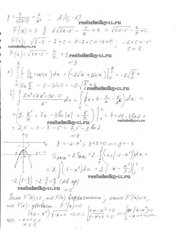
КР-6
КР-7
КР-8
Готовая домашняя работа с ответами по Алгебре за 11 класс Глизбург Контрольные работы Базовый и углубленный уровень Мнемозина 2016 ФГОС - КР-6 Вариант-2