Алгебра за 11 класс Глизбург Контрольные работы Базовый и углубленный уровень Мнемозина кр-7 Вариант-4
Решебник / кр-7 / вариант-4






КР-1
КР-2
КР-3
КР-4
КР-5
КР-6
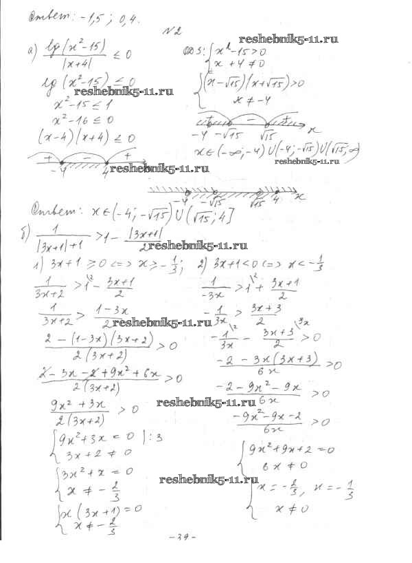
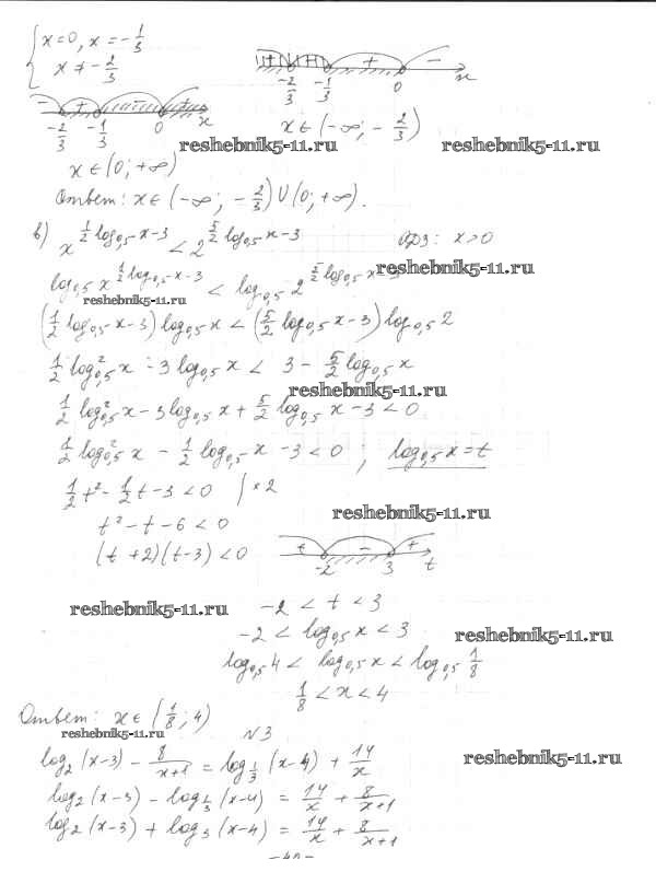
КР-7
КР-8
Готовая домашняя работа с ответами по Алгебре за 11 класс Глизбург Контрольные работы Базовый и углубленный уровень Мнемозина 2016 ФГОС - КР-7 Вариант-4