Алгебра за 11 класс Глизбург Контрольные работы Базовый и углубленный уровень Мнемозина кр-8 Вариант-3
Решебник / кр-8 / вариант-3




КР-1
КР-2
КР-3
КР-4
КР-5
КР-6
КР-7
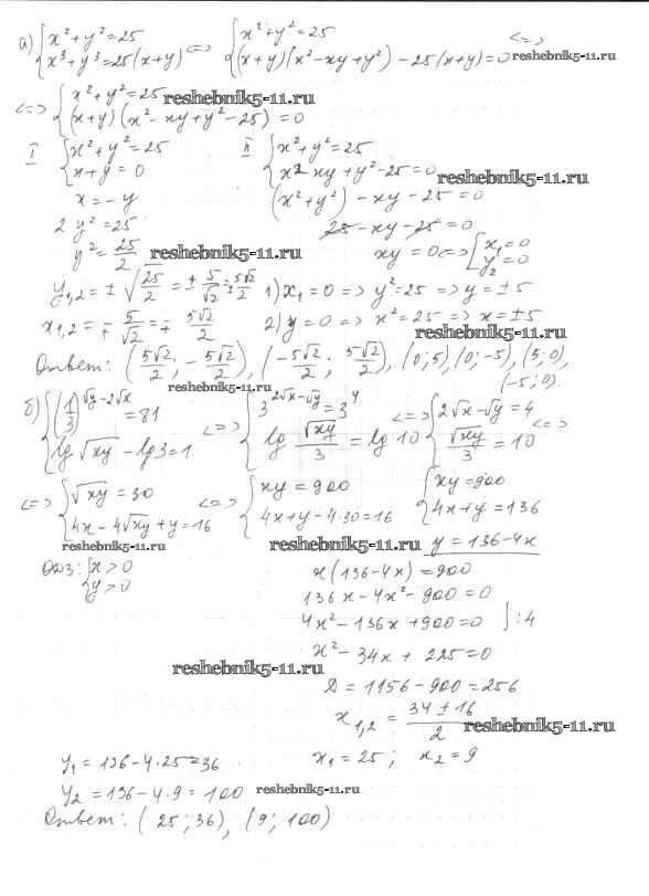
КР-8
Готовая домашняя работа с ответами по Алгебре за 11 класс Глизбург Контрольные работы Базовый и углубленный уровень Мнемозина 2016 ФГОС - КР-8 Вариант-3