Математика за 5 класс Ерина Контрольные работы УМК Экзамен кр-2. вариант 6
Решебник / кр-2. вариант / 6

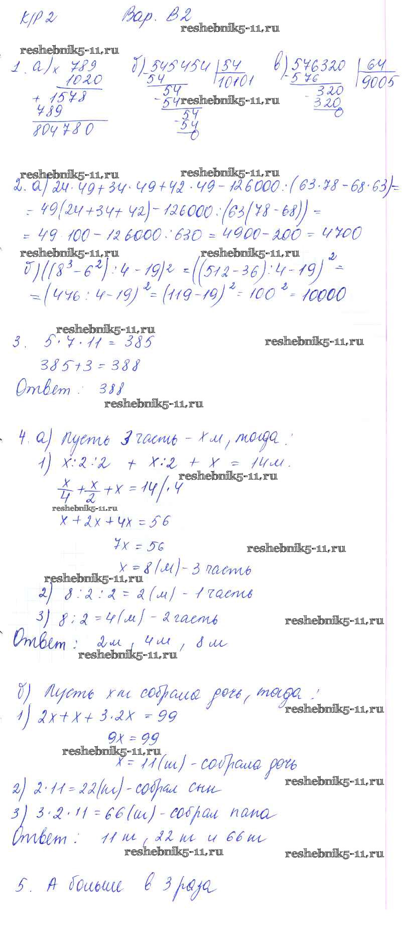
Готовая домашняя работа с ответами по Математике за 5 класс Ерина Контрольные работы УМК Экзамен 2020 ФГОС - КР-2. Варианты 6
Готовая домашняя работа с ответами по Математике за 5 класс Ерина Контрольные работы УМК Экзамен 2020 ФГОС - КР-2. Варианты 6