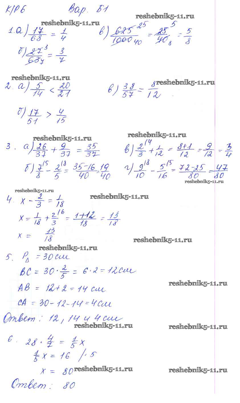
Математика за 5 класс Ерина Контрольные работы УМК Экзамен кр-6. вариант 3
Решебник / кр-6. вариант / 3

Готовая домашняя работа с ответами по Математике за 5 класс Ерина Контрольные работы УМК Экзамен 2020 ФГОС - КР-6. Варианты 3
Готовая домашняя работа с ответами по Математике за 5 класс Ерина Контрольные работы УМК Экзамен 2020 ФГОС - КР-6. Варианты 3