Математика за 5 класс Ерина Контрольные работы УМК Экзамен кр-7. вариант 6

Решебник / кр-7. вариант / 6

КР-1. Варианты

КР-2. Варианты

КР-3. Варианты

КР-4. Варианты

КР-5. Варианты

КР-6. Варианты

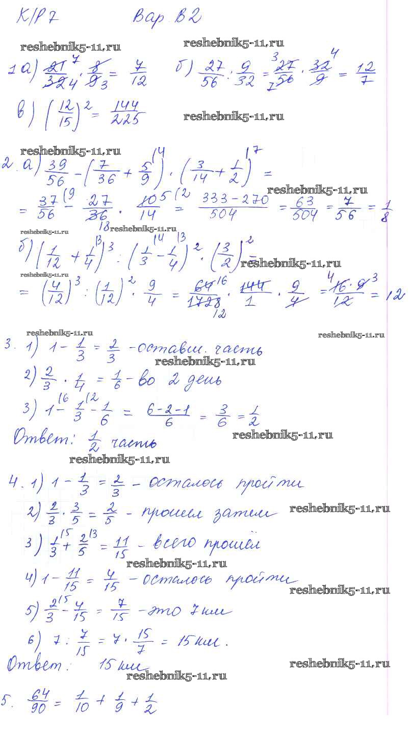
КР-7. Варианты

КР-8. Варианты

Готовая домашняя работа с ответами по Математике за 5 класс Ерина Контрольные работы УМК Экзамен 2020 ФГОС - КР-7. Варианты 6