Математика за 5 класс Ерина Контрольные работы УМК Экзамен кр-6. вариант 1
Решебник / кр-6. вариант / 1

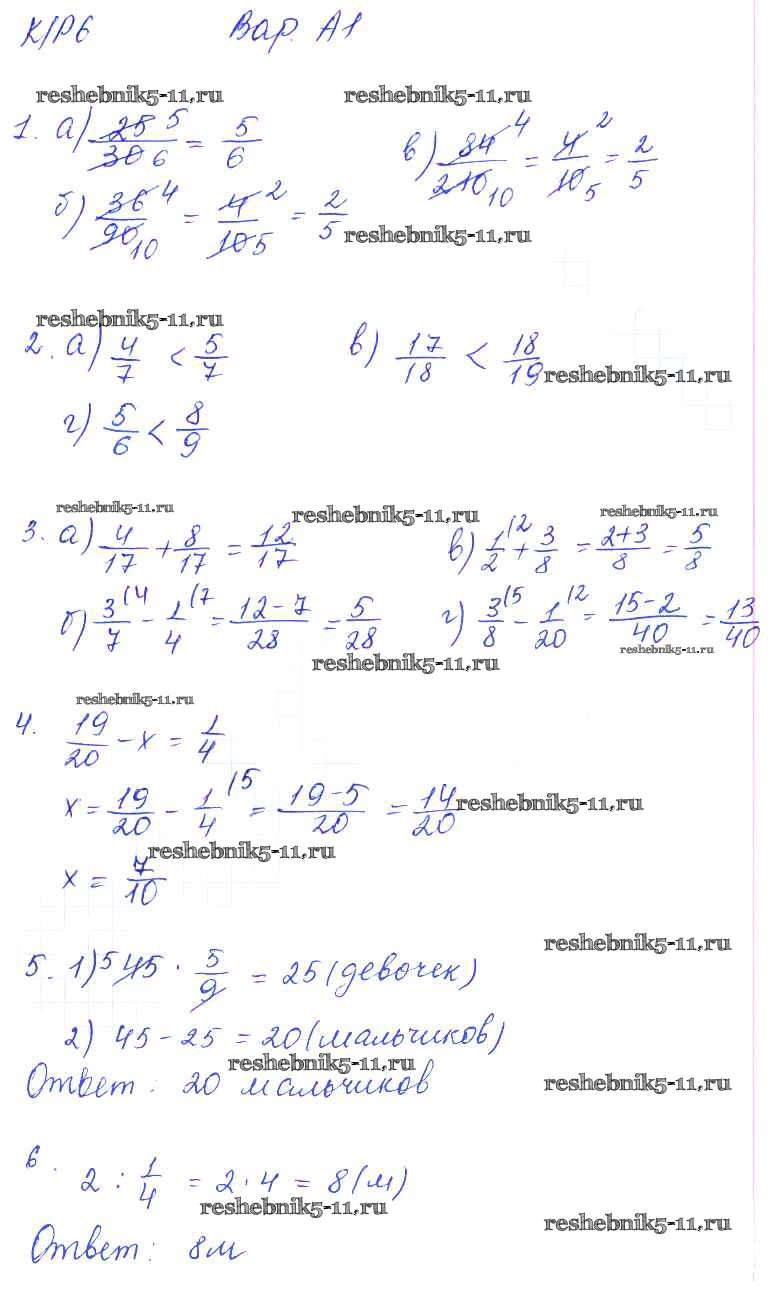
Готовая домашняя работа с ответами по Математике за 5 класс Ерина Контрольные работы УМК Экзамен 2020 ФГОС - КР-6. Варианты 1
Готовая домашняя работа с ответами по Математике за 5 класс Ерина Контрольные работы УМК Экзамен 2020 ФГОС - КР-6. Варианты 1