Алгебра за 8 класс Александрова Контрольные работы УМК Базовый уровень Мнемозина кр-3. вариант 1
Решебник / контрольная работа / кр-3. вариант / 1

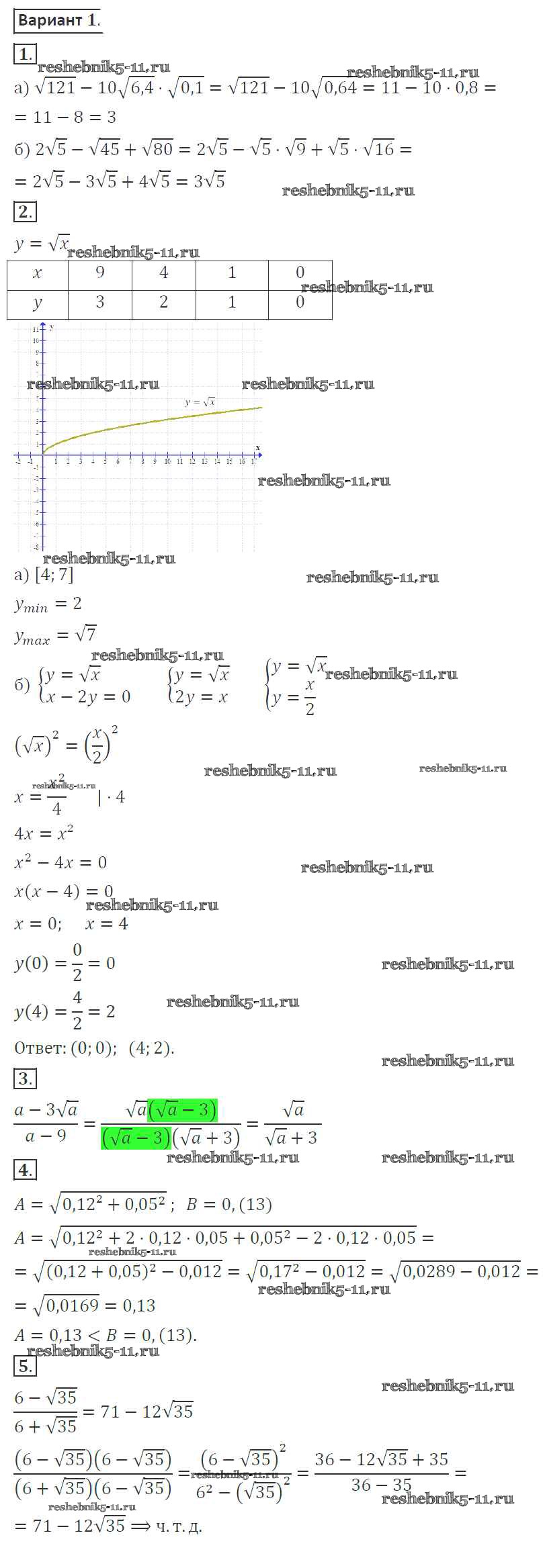
Решебник 2 / контрольная работа / кр-3. вариант / 1

Решебник 3 / контрольная работа / кр-3. вариант / 1

Готовая домашняя работа с ответами по Алгебре за 8 класс Александрова Контрольные работы УМК Базовый уровень Мнемозина 2016 ФГОС - КР-3. Варианты 1